Điện chính là một nguồn tài nguyên của quốc gia đóng góp vô cùng quan trọng trong việc xây dựng kinh tế cũng như đời sống hàng ngày của chúng ta. Mặc dù rất gần gũi nhưng không phải ai cũng giải thích được khái niệm công của dòng điện là gì? Trong bài viết này Monkey sẽ chia sẻ cho bạn những thông tin quan trọng nhất liên quan đến lĩnh vực này trong bài viết dưới đây.
Điện năng là gì?

Điện năng chính là năng lượng của dòng điện. Hay nói cách khác thì đó là công năng do dòng điện sinh ra. Đơn vị đo điện năng là W hoặc kW.
Nhờ có điện năng mà đời sống của con người ngày càng được nâng cao, sản xuất ngày càng phát triển, giúp đỡ tiêu tốn sức lao động con người.
Điện năng có thể chuyển hóa thành dạng năng lượng khác như: Cơ năng, quang năng, nhiệt năng, năng lượng từ, hóa năng…
Ví dụ: Bóng đèn điện (điện năng chuyển hóa thành quang năng), nồi cơm điện (điện năng chuyển hóa thành nhiệt năng).

Hiệu suất sử dụng điện năng là tỷ số giữa phần năng lượng có ích được chuyển hóa từ điện năng và toàn bộ điện năng tiêu thụ và được tính dựa trên công thức:
Trong đó:
A1: năng lượng có ích chuyển hóa thành nhiệt năng
A: điện năng tiêu thụ
Từ đó ta có phát biểu: Năng lượng toàn phần = Năng lượng có ích + năng lượng hao phí (năng lượng vô ích).
Công của dòng điện là gì?

Công dòng điện sinh ra trong một đoạn mạch là số đo lượng điện năng mà một mạch điện tiêu thụ khi có dòng điện chạy qua để chuyển hóa thành các dạng năng lượng khác tại đoạn mạch đó.
Công của dòng điện được đo bằng công của lực điện thực hiện khi dịch chuyển có hướng các điện tích.
Ký hiệu đơn vị đo công của dòng điện là: A
Đơn vị đo công của dòng điện là: J (Jun) hay kWh ( kilôoát giờ)
Công thức tính công của dòng điện

Xét đoạn mạch như hình vẽ bên dưới:

Khi đặt một hiệu điện thế U vào giữa đoạn mạch AB thì các điện tích tự do có trong mạch sẽ chịu tác dụng lực của dòng điện. Sự chuyển dời có hướng của các điện tích sẽ tạo thành dòng điện trong đoạn mạch, lúc này lực điện thực hiện công. Nếu giả sử cường độ dòng điện gọi là I thì sau một thời gian t sẽ có điện lượng (q = It) di chuyển trong đoạn mạch và khi đó lực điện thực hiện một công là:
|
A = P.t = U.q = U.I.t |
Trong đó:
-
A: công của dòng điện (J)
-
P: công suất điện (W)
-
t: thời gian (s)
-
U: hiệu điện thế (V)
-
I: cường độ dòng điện (A)
-
q: điện lượng di chuyển trong mạch (C)
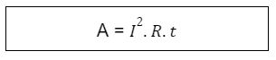
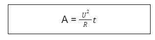
Ngoài ra còn được tính theo công thức sau:
hoặc
Công của dòng điện được đo bằng: Jun (J)
1J = 1W.1s = 1V.1A.1s
1kW.h = 1000W.3600s = 3600000J = 3,6.10^6J
Đo công của dòng điện
Lượng điện năng được sử dụng sẽ đo bằng công tơ điện và chỉ số này sẽ cho chúng ta biết được lượng điện năng đã sử dụng theo đơn vị 1 kilôoát giờ (1KWh), hay còn được gọi là công suất điện.
Lưu ý:
- Mỗi số đếm trên mặt của công tơ điện cho ta biết lượng điện năng được sử dụng là 1 kilôoát giờ (1KWh).
- Nếu như các thiết bị điện hoạt động bình thường, có nghĩa là đang sử dụng hiệu điện thế bằng hiệu điện thế định mức thì công suất tiêu thụ thực tế lúc này mới đúng bằng công suất định mức của nó.
Xem thêm: Biến trở là gì ? | Tìm hiểu cấu tạo, hoạt động, ứng dụng
Bài tập công của dòng điện vật lý 9

Để không quên kiến thức vừa học Monkey mời các bạn cùng làm một số bài tập trắc nghiệm và tự luận liên quan đến công của dòng điện dưới đây.
Bài 1: Điện năng là:
A. năng lượng điện trở
B. năng lượng điện thế
C. năng lượng dòng điện
D. năng lượng hiệu điện thế
Năng lượng dòng điện được gọi là điện năng
Đáp án: C. năng lượng dòng điện
Bài 2: Hiệu suất sử dụng điện là:
A. Tỷ số giữa phần năng lượng có ích được chuyển đổi từ điện năng thành phần năng lượng vô ích.
B. Tỷ số giữa phần năng lượng có ích được chuyển đổi từ điện năng và toàn bộ điện năng tiêu thụ.
C. Tỷ số giữa phần năng lượng vô ích được chuyển đổi từ điện năng thành toàn bộ điện năng tiêu thụ.
D. Tỷ số giữa phần năng lượng vô ích được chuyển hóa từ điện năng và phần năng lượng tiêu thụ.
Đáp án: B. Tỷ số giữa phần năng lượng có ích được chuyển hóa từ điện năng và toàn bộ điện năng tiêu thụ.
Bài 3: Trên bóng đèn dây tóc Đ1 có ghi 220V – 100W. Trên bóng đèn dây tóc Đ2 có ghi 220V – 75W. Mắc hai bóng đèn nối tiếp với nhau rồi mắc đoạn mạch này vào hiệu điện thế 220V. Tính công suất điện của đoạn mạch nối tiếp này, cho rằng điện trở của mỗi đèn khi đó bằng 50% điện trở của đèn đó khi sáng bình thường.
Hướng dẫn giải:
Điện trở của bóng đèn dây tóc Đ1 và Đ2:
Điện trở tương đương của đoạn mạch mắc nối tiếp:
R = R1 + R2 = 484 + 645,3 = 1129,3 Ω
Cường độ dòng điện qua mạch:
I = U/R = 220/1129,3 A
Vậy I1 = I2 = I = 0,195 A
Hiệu điện thế giữa hai đèn Đ1 và đèn Đ2 là:
U1 = I.R1 = 0,195.484 = 94,38 V
U2 = I.R2 = 0,195.645,3 = 125,83 V
Công suất của đoạn mạch sẽ bằng:
Từ đó suy ra P = P1 + P2 = 86,8 W
Ngoài ra bạn cũng hãy luyện thêm một số đề nâng cao dưới đây:
Bài nâng cao 1: Trên một bóng đèn có ghi: 220V- 100W.
-
Tính điện trở của đèn. (giả sử điện trở của đèn không phụ thuộc nhiệt độ).
-
Khi sử dụng mạch điện có hiệu điện thế 200V thì độ sáng của đèn như thế nào? Khi đó công suất điện của đèn là bao nhiêu?
-
Tính điện năng mà đèn sử dụng trong 10 giờ.
Bài nâng cao 2: Khi điện trở mạch ngoài của một nguồn điện là R1
hoặc R2 thì công suất mạch ngoài có cùng giá trị.
-
Tính E, r của nguồn theo R1, R2 và công suất P.
-
Nguồn điện trên có điện trở mạch ngoài R. Khi mắc thêm Rx song song R thì công suất mạch ngoài không đổi. Tính Rx
Bài tập nâng cao 3: Nguồn E = 24V, r = 1,5Ω được dùng để thắp sáng bình thường 12
đèn 3V–3W cùng với 6 đèn 6V–6W.
-
Tìm cách mắc đèn.
-
Tính công suất và hiệu suất của nguồn.
Bài tập nâng cao 4: Có N = 60 nguồn điện giống nhau, mỗi nguồn E = 1,5V, r = 0,6Ω ghép thành bộ gồm m dãy song song, mỗi dãy n nguồn nối tiếp. Mạch ngoàilà điện trở R = 1Ω. Tính m, n để:
-
Công suất tiêu thụ mạch ngoài lớn nhất. Tính công suất này.
-
Công suất tiêu thụ mạch ngoài không nhỏ hơn 36W.
Bài tập nâng cao 5: Mạch điện gồm một nguồn E = 150V, r = 2Ω, một đèn Đ có công suất định mức P = 180W và một biến trở Rb mắc nối tiếp nhau.
-
Khi Rb= 18Ω thì đèn sáng bình thường. Tìm hiệu điện thế định mức của đèn.
-
Mắc song song với đèn Đ một đèn giống nó. Tìm Rb để hai đèn sáng bình thường.
-
Với nguồn trên, có thể thắp sáng tối đa bao nhiêu đèn giống như Đ. Hiệu suất của nguồn khi đó là bao nhiêu?
Bài tập nâng cao 6: Các nguồn giống nhau, mỗi nguồn E0 = 1,5V, r0 = 1,5Ω mắc thành bộ đối xứng thắp sáng bình thường đèn 12V–18W.
-
Tìm cách mắc nguồn.
-
Cách mắc nào có số nguồn ít nhất. Tính công suất và hiệu suất mỗi nguồn lúc đó
Như vậy, bài viết này của Monkey đã cung cấp cho bạn toàn bộ lý thuyết cũng như bài tập về công của dòng điện đơn giản và dễ nhớ nhất. Hy vọng qua những thông tin trên, bạn có thể vận dụng giải thành thạo các dạng bài tập liên quan và đạt điểm cao trong các bài thi. Chia sẻ bài viết và đừng quên theo dõi chuyên mục kiến thức cơ bản của Monkey mỗi ngày để có thêm nhiều kiến thức thú vị khác.









![Các từ khó trong tiếng Việt lớp 3 dễ hiểu nhầm nghĩa [Cần chú ý!]](https://vnmedia2.monkeyuni.net/upload/web/storage_web/20-03-2026_15:47:44_cac-tu-kho-trong-tieng-viet-lop-3.png)
