Trong thực tế hẳn các em đã thấy cánh diều hay tên lửa đều bay được lên bầu trời, vậy điều gì khiến chúng có thể bay được và nguyên tắc chuyển động của chúng có khác nhau hay không? Nội dung bài học dưới đây sẽ giúp các em tìm hiểu về động lượng - một đại lượng đặc trưng cho trạng thái của hệ không thay đổi theo thời gian, hay còn gọi là một đại lượng bảo toàn. Vậy khái niệm về động lượng ra sao? Định luật bảo toàn động lượng có ý nghĩa gì đối với chúng ta? Để trả lời những câu hỏi trên, các em hãy cùng Monkey theo dõi bài học dưới đây để có thể tìm ra đáp án nhé.
Xung lượng của lực là gì?
Xung lượng của lực là sự thay đổi về vận tốc của vật thể cả hướng và độ lớn, phụ thuộc vào hướng và độ lớn của lực tác dụng và thời gian lực tác dụng.
Xung lượng của lực được tính bằng:
Động lượng là gì?

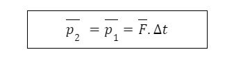
Độ biến thiên động lượng của một vật bất kì trong một khoảng thời gian nào đó sẽ bằng xung lượng của lực tác dụng lên vật trong khoảng thời gian đó, ta có biểu thức:
Mối liên hệ giữa động lượng và xung lượng của lực ta có:
Ý nghĩa: Khi lực đủ mạnh tác dụng lên vật trong khoảng thời gian hữu hạn thì động lượng của vật sẽ biến thiên.
Định luật bảo toàn động lượng
Hệ cô lập
Điều kiện để một hệ (nhiều vật) được coi là hệ cô lập:
Chỉ có các nội lực tương tác giữa các vật, chúng tuân theo định luật III Newton trực đối nhau từng đôi một.
Trong một hệ cô lập chỉ có các nội lực tương tác giữa các vật.
Ví dụ: Hai viên bi tương tác không ma sát trên mặt phẳng ngang. Trong trường hợp này hai hệ được xem là hệ cô lập.
Định luật bảo toàn động lượng của hệ cô lập

Động lượng của một hệ cô lập là một đại lượng bảo toàn. Ta có biểu thức:
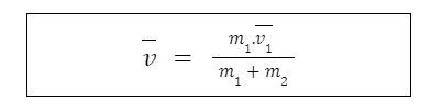
Va chạm mềm
Va chạm giữa hai vật m1 và m2 được gọi là va chạm mềm
Chuyển động bằng phản lực

Ta có thể tính được vận tốc của tên lửa khi bay về phía trước:
Xem thêm: Giải thích chi tiết ngẫu lực là gì và bài tập thực hành ngẫu lực (Vật Lý 10)
Bài tập về định luật bảo toàn động lượng có đáp án
Để có thể hiểu rõ hơn những lý thuyết ở bài học định luật bảo toàn động lượng, Monkey đã tổng hợp lại một số câu hỏi từ cơ bản đến nâng cao kèm đáp án.
Ngoài ra các em cũng có thể làm một số bài tập tự luyện tại nhà dưới đây.
Bài tập số 1: Một quả bóng có khối lượng bằng 1kg rơi tự do xuống đất trong thời gian khoảng 0,5s. Vậy lúc này, độ biến thiên động lượng của vật trong khoảng thời gian đó là bao nhiêu? Biết rằng lấy g = 10m/s2.
Bài tập số 2: Một quả bóng đá có khối lượng bằng 300g va chạm vào tường với vận tốc là 5m/s và nảy trở lại với cùng tốc độ. Các em hãy tìm độ biến thiên động lượng?
Bài tập số 3: Một viên đạn có khối lượng bằng 5kg đang được bắn theo phương ngang với vận tốc là 200 m/s thì nổ thành 2 mảnh. Mảnh đầu tiên có khối lượng 2kg bay thẳng đứng xuống với vận tốc 500m/s, các em hãy cho biết mảnh đạn thứ hai bay theo hướng nào so với phương ngang?
Bài tập số 4: Hai vật có khối lượng lần lượt là 1 kg và 3 kg chuyển động với vận tốc v1 = 3 m/s và v2 = 1 m/s. Từ đó các em hãy tính tổng động lượng (phương, chiều và độ lớn) của hệ trong ba trường hợp sau:
-
v1 và v2 cùng hướng.
-
v1 và v2 cùng phương nhưng ngược chiều
-
v1 và v2 cùng vuông góc
Bài tập số 5: Một khẩu pháo có khối lượng là 130kg được đặt trong toa xe tải nằm trên đường ray có khối lượng là 20kg khi chưa nạp đạn. Viên bi được bắn ra theo phương nằm ngang dọc theo đường ray có trọng lượng bằng 1kg. Vận tốc của đạn khi ra khỏi nòng súng khoảng 400m/s so với súng. Hãy xác định vận tốc của toa xe sau khi bắn trong ba trường hợp dưới đây:
-
Toa xe ban đầu nằm yên.
-
Toa xe chuyển động với vận tốc là 18km/h theo chiều bắn đạn
-
Toa xe chuyển động với vận tốc 18km/h theo chiều ngược với đạn.
Trên đây là toàn bộ nội dung định luật bảo toàn động lượng và bài tập thực hành có đáp án mà Monkey đem đến cho các em. Mong rằng những chia sẻ trên sẽ giúp các em nắm vững kiến thức một cách đầy đủ nhất. Hãy thường xuyên theo dõi chuyên mục kiến thức cơ bản để có thể tìm hiểu thêm nhiều thông tin thú vị không chỉ về môn Vật Lý mà còn nhiều môn khác các em nhé!









![Các từ khó trong tiếng Việt lớp 3 dễ hiểu nhầm nghĩa [Cần chú ý!]](https://vnmedia2.monkeyuni.net/upload/web/storage_web/20-03-2026_15:47:44_cac-tu-kho-trong-tieng-viet-lop-3.png)
