Trong môn Vật Lý lớp 10 các em sẽ được học nhiều kiến thức quan trọng có trong đề thi THPT, trong đó một phần không thể thiếu chính là động năng. Bài viết này Monkey sẽ giải đáp toàn bộ lý thuyết về động năng là gì? Biểu thức tính động năng và kèm theo đó là một số bài tập từ đơn giản đến nâng cao giúp các em có thể dễ dàng hiểu bài học.
Động năng là gì?
Năng lượng là gì? Năng lượng chính là đại lượng đặc trưng cho khả năng sinh công của một vật bất kỳ. Khi một vật được tương tác với các vật khác thì giữa chúng có thể trao đổi năng lượng.
Trong Vật lý, năng lượng được coi là một đại lượng bảo toàn, nó không tự nhiên sinh ra hay mất đi.
Động năng là gì? Động năng là dạng năng lượng mà vật có được do nó đang chuyển động. Khi một vật bất kì nào đó có động năng thì vật đó có thể tác dụng lực lên những vật khác và lực này sẽ sinh công.
Ký hiệu động năng: Wđ.
Ngoài ra, động năng còn được hiểu là công cần thực hiện để gia tốc một vật với khối lượng cho trước, từ trạng thái nghỉ đến vận tốc hiện thời của nó. Vật có khối lượng càng lớn và chuyển chuyển động càng nhanh thì đồng nghĩa với động năng của vật đó cũng lớn theo.
- Động năng được kí hiệu là Wđ.
- Đơn vị của động năng là Jun (J).
Dưới đây là một vài ví dụ điển hình về động năng trong cuộc sống hàng ngày:



Thế năng là gì? Tổng hợp các dạng thế năng và công thức tính (dễ hiểu nhất)
Ánh sáng đơn sắc là ánh sáng gì? Hiện tượng giao thoa hai ánh sáng đơn sắc là gì?
Bước sóng là gì? Công thức tính bước sóng, phân loại và ứng dụng thực tiễn
Công thức tính động năng
Xét một vật có khối lượng là m đang di chuyển dưới tác dụng của một lực
(Lực F không đổi và vật chuyển động dọc theo giá của lực F)
Giả sử khi vật đi được một quãng đường là s, vận tốc của vật biến thiên từ đến
, nên ta có:
Trong trường hợp vật bắt đầu từ trạng thái nghỉ v1 = 0, dưới tác dụng của một lực F đạt đến vận tốc v1 = v, ta có:
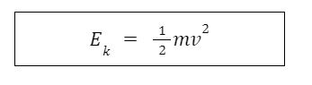
Từ hai trường hợp trên ta có kết luận: Động năng của một vật có khối lượng m đang chuyển động với vận tốc là v mà vật đó có được khi đang chuyển động, với động năng được tính bằng biểu thức:
Trong đó:
- Wd: Là động năng (J)
- m: Là khối lượng của vật (kg)
- v: Là vận tốc (tốc độ) của vật (m/s)
Động năng của vật rắn
Trong cơ học cổ điển, động năng của một vật nhỏ đến nỗi mà khối lượng của nó có thể được xem là chỉ tồn tại tại một điểm hay một vật không quay, biểu thức tính động năng của vật là:
Trong đó:
- m: Là khối lượng (kg)
- v: Là tốc độ (hay vận tốc) của vật (m/s)
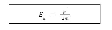
Vì động năng tỉ lệ thuận theo bình phương tốc độ, nên một vật tăng gấp đôi tốc độ thì nó sẽ có động năng gấp bốn lần so với ban đầu. Động năng của một vật liên hệ với động lượng theo phương trình:
Trong đó:
- p: Là động lượng
- m: Là khối lượng của vật
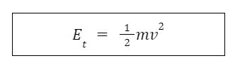
Động năng tịnh tiến liên quan đến chuyển động tịnh tiến của vật rắn có khối lượng không đổi m và khối tâm của nó di chuyển với tốc độ v, sẽ bằng với:
Trong đó:
- m: Là khối lượng của vật
- v: Là tốc độ khối tâm của vật
Định lý động năng
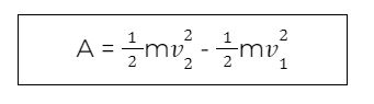
Công do một lực F sinh ra sẽ được tính theo công thức:
Trong đó:
Qua đó ta có hệ quả: Khi lực tác dụng lên một vật bất kì, vật này sinh công dương (+) thì động năng của vật tăng (tức vật sinh công âm(-)). Còn ngược lại, nếu như lực tác dụng lên vật sinh công âm (-) thì động năng của vật giảm (tức là vật sinh công dương (+)).
Xem thêm: Thế năng là gì? Tổng hợp các dạng thế năng và công thức tính (dễ hiểu nhất)
Bài tập về động năng Vật Lý 10 bài 25
Bài tập số 1: Có một viên đạn trọng lượng là 14g và đang chuyển động với vận tốc 400 m/s theo phương ngang xuyên qua một tấm gỗ dày 5 cm cách đấy 100 m. Các em hãy tìm vận tốc viên đạn sau khi xuyên qua gỗ là 120 m/s. Ngoài ra, các em cũng tìm lực cản trung bình của tấm gỗ tác dụng lên viên đạn bằng bao nhiêu?
Hướng dẫn nhanh:
Ta có:
Bài tập số 2: Một ô tô con đang chạy với vận tốc 24 m/s có khối lượng là 1100 kg và đang hãm phanh chuyển động chậm dần đều. Các em hãy tính:
-
Độ biến thiên động năng của ô tô sau khi vận tốc giảm xuống còn 10m/s?
-
Lực hãm trung bình sau khi ô tô đi thêm được 60m bằng bao nhiêu?
Hướng dẫn nhanh:
Ta có:
Bài tập số 3: Một vật có khối lượng m = 100g rơi tự do không vận tốc ban đầu. Lấy g = 10m/s^2
-
Hỏi trong bao ao lâu sau khi bắt đầu rơi, vật có động năng là 5J?
-
Khi vật có động năng là 4J thì quãng đường rơi sẽ là bao nhiêu?
Hướng dẫn nhanh:
Xem thêm: Tổng hợp lý thuyết định luật bảo toàn năng lượng cần nhớ
Trên đây là những kiến thức liên quan đến động năng mà Monkey chia sẻ cho các em. Mong rằng bài viết này sẽ giúp cho các em hiểu động năng là gì và một vài công thức liên quan đến động năng. Các em hãy theo dõi chuyên mục kiến thức cơ bản để cập nhập cho mình nhiều kiến thức thú vị không chỉ liên quan đến Vật lý mà còn nhiều môn học khác nhé!


_(1).png)





