Trong chương trình vật lý 10, các em sẽ được tìm hiểu về một định nghĩa rất quan trọng trong Vật lý đó là chuyển động thẳng biến đổi đều. Để hiểu rõ hơn về lý thuyết cũng như cách áp dụng vào giải bài tập của chuyển động thẳng biến đổi đều, hãy cùng Monkey tìm hiểu thông qua bài viết này ngay nhé!
Chuyển động thẳng biến đổi đều là gì?
Trong đời sống hằng ngày, chúng ta rất dễ dàng bắt gặp được những chuyển động thẳng biến đổi đều xung quanh mình. Tuy nhiên, không phải ai cũng có thể xác định được trường hợp nào, vật thể nào có thể xảy ra hiện tượng này.

Vận tốc tức thời là gì? Tính độ lớn
Để hiểu được chuyển động thẳng biến đổi đều trước tiên hãy tìm hiểu khái niệm vận tốc tức thời.
Vận tốc tức thời (kí hiệu v) của một vật chuyển động tại 1 điểm là đại lượng được đo bởi đoạn đường rất nhỏ (kí hiệu Δs) đi qua điểm đó trên khoảng thời gian rất ngắn (kí hiệu Δt) để vật đi hết đoạn đường đó.
Ta có thể xác định được sự nhanh chậm của chuyển động tại điểm đó nhờ có vận tốc tức thời.
Vận tốc tức thời được tính theo công thức : v = Δs/Δt
Một định nghĩa liên quan khác cần quan tâm đến chính là vecto (véc tơ) vận tốc tức thời. Vectơ vận tốc tức thời là một đại lượng vectơ gồm có:
-
Gốc đặt ở vật chuyển động.
-
Phương và chiều là phương và chiều của chuyển động.
-
Độ dài biểu diễn độ lớn của vận tốc theo một tỉ xích nào đó.
Lưu ý: Đối với một đường thẳng có nhiều vật cùng chuyển động trên đó theo hai chiều ngược nhau, chúng ta cần phải chọn một chiều dương trên đường thẳng đó và được quy ước như sau:
-
v > 0 : vật chuyển động theo chiều dương
-
v < 0 : vật chuyển động theo chiều âm

Chuyển động thẳng biến đổi đều là gì?
Chuyển động có quỹ đạo là đường thẳng và có độ lớn của vận tốc tức thời tăng hay giảm đều theo thời gian được gọi là chuyển động thẳng biến đổi đều.
-
Chuyển động thẳng có độ lớn của vận tốc tức thời tăng đều theo thời gian gọi là chuyển động thẳng nhanh dần đều.
-
Chuyển động thẳng có độ lớn của vận tốc tức thời giảm đều theo thời gian gọi là chuyển động thẳng chậm dần đều.

Chuyển động thẳng nhanh dần đều
Để hiểu rõ hơn về nội dung và phương trình chuyển động thẳng nhanh dần đều, chúng ta sẽ cùng phân tích những đại lượng gồm gia tốc, vận tốc và quãng đường.
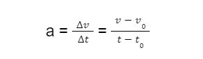
Gia tốc trong chuyển động thẳng nhanh dần đều
Khái niệm gia tốc:
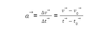
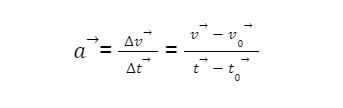
Gia tốc trong chuyển động nhanh dần đều là đại lượng đặc trưng cho sự biến thiên của vận tốc nhanh của vật. Nó được dựa trên thương số của độ biến thiên vận tốc và khoảng thời gian vận tốc biến thiên.
Đơn vị của gia tốc trong hệ SI được đo bằng
Vectơ gia tốc:
Vận tốc là đại lượng vecto nên vì thế gia tốc cũng được tính theo đại lượng vecto
Chiều của vectơ gia tốc a trong chuyển động thẳng nhanh dần đều luôn cùng chiều với các vectơ vận tốc.
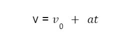
Vận tốc trong chuyển động thẳng nhanh dần đều
Vận tốc trong chuyển động thẳng nhanh dần đều được xác định bằng công thức:
Trong đó:
-
v : vận tốc ở thời điểm t
-
v0: vận tốc ở thời điểm ban đầu
-
a : gia tốc của chuyển động
-
t : thời gian chuyển động
Đồ thị vận tốc - thời gian (v- t):

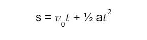
Quãng đường trong chuyển động thẳng nhanh dần đều
Quãng đường trong chuyển động thẳng nhanh dần đều được tính theo công thức:
Trong đó:
-
s : quãng đường chuyển động
-
v0: vận tốc ở thời điểm ban đầu
-
a : gia tốc của chuyển động
-
t : thời gian chuyển động
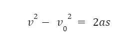
Công thức liên hệ giữa gia tốc, vận tốc, quãng đường đi được của chuyển động thẳng nhanh dần đều
Một công thức liên hệ giữa ba đại lượng trong chuyển động thẳng nhanh và chậm dần đều mà các em cần nên biết:
Phương trình chuyển động của chuyển động thẳng nhanh dần đều
Phương trình chuyển động của chuyển động thẳng nhanh dần đều được viết như sau:
Chuyển động thẳng chậm dần đều
Ngược lại với chuyển động thẳng nhanh dần đều, chúng ta sẽ cùng tiếp tục tìm hiểu về chuyển động thẳng chậm dần đều để tìm điểm giống và khác nhau giữa các đại lượng của hai chuyển động này nhé!
Gia tốc trong chuyển động thẳng chậm dần đều
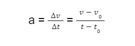
Khái niệm gia tốc:
Gia tốc trong chuyển động chậm dần đều là đại lượng đặc trưng cho sự biến thiên của vận tốc chậm của vật. Tương tự như gia tốc trong chuyển động nhanh dần đều, nó được dựa trên thương số của độ biến thiên vận tốc và khoảng thời gian vận tốc biến thiên.
Đơn vị của gia tốc trong hệ SI được đo bằng m/s2
Vectơ gia tốc:
Vận tốc là đại lượng vecto nên vì thế gia tốc cũng được tính theo đại lượng vecto
Chiều của vectơ gia tốc a trong chuyển động thẳng chậm dần đều luôn ngược chiều với các vectơ vận tốc.
Vận tốc trong chuyển động thẳng chậm dần đều
Vận tốc trong chuyển động thẳng chậm dần đều được xác định bằng công thức:
Trong đó:
-
v : vận tốc ở thời điểm t
-
v0: vận tốc ở thời điểm ban đầu
-
a : gia tốc của chuyển động
-
t : thời gian chuyển động
Đồ thị vận tốc - thời gian (v- t):

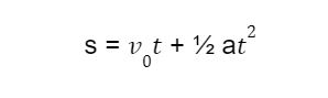
Quãng đường trong chuyển động thẳng chậm dần đều
Quãng đường trong chuyển động thẳng chậm dần đều có công thức tương tự như quãng đường trong chuyển động thẳng nhanh dần đều:
Trong đó:
-
s : quãng đường chuyển động
-
v0: vận tốc ở thời điểm ban đầu
-
a : gia tốc của chuyển động
-
t : thời gian chuyển động
Phương trình chuyển động của chuyển động thẳng chậm dần đều
Phương trình chuyển động của chuyển động thẳng chậm dần đều được viết như sau:
Xem thêm: Kiến thức về mắt: Cấu tạo của mắt, mắt cận và mắt lão
Bài tập chuyển động thẳng biến đổi đều có đáp án
Bài 1: Một viên bi lăn nhanh dần đều từ đỉnh một máng nghiêng với v0 = 0, a = 0,5 m/s^2. Sau bao lâu viên bi đạt v = 2,5m/s?
A.2,5s B. 5s C. 10s D. 0,2s
Bài 2: Một đoàn tàu bắt đầu chuyển động nhanh dần đều khi đi hết 1km thứ nhất thì v1 = 10m/s. Tính vận tốc v sau khi đi hết 2km?
A.10 m/s B. 20 m/s C. 10√2 m/s D. 10√3 m/s
Bài 3: Một viên bi thả lăn trên mặt phẳng nghiêng không vận tốc đầu với gia tốc 0,1 m/s2. Hỏi sau bao lâu kể từ lúc thả, viên bi có vận tốc 2 m/s?
A.20s B. 10s C. 15s D. 12s
Bài 4: Một đoàn tàu bắt đầu rời ga chuyển động nhanh dần đều, sau 20s đạt đến vận tốc 36 km/h. Sau bao lâu tàu đạt đến vận tốc 54 km/h?
A.10s B. 20s C. 30s D. 40s
Bài 5: Một đoàn tàu đang chạy với vận tốc 54 km/h thì hãm phanh . Sau đó đi thêm 125 m nữa thì dừng hẳn. Hỏi 5s sau lúc hãm phanh, tàu đang chạy với vận tốc là bao nhiêu?
A.10 m/s B. 10,5 km/h C. 11 km/h D. 10,5 m/s
Bài 6: Trong công thức tính quãng đường đi được của chuyển động thẳng chậm dần đều cho đến khi dừng hẳn: s = Vo.t + ½ at^2 thì:
A.v0 > 0; a < 0; s > 0
B. Cả A và C đều đúng
C. v0 < 0; a < 0; s > 0
D. v0 < 0; a > 0; s < 0
Bài 7: Chọn phát biểu sai:
A.Vectơ gia tốc của chuyển động thẳng biến đổi đều cùng chiều với vectơ vận tốc
B.Vectơ gia tốc của chuyển động thẳng biến đổi đều có phương không đổi
C.Vectơ gia tốc của chuyển động thẳng chậm dần đều ngược chiều với vectơ vận tốc
D.Vectơ gia tốc của chuyển động thẳng biến đổi đều có độ lớn không đổi
Bài 8: Chọn câu sai: Khi một chất điểm chuyển động thẳng biến đổi đều thì nó:
A. Có gia tốc trung bình không đổi
B. Có gia tốc không đổi
C. Chỉ có thể chuyển động nhanh dần hoặc chậm dần đều
D. Có thể lúc đầu chuyển động chậm dần đều, sau đó nhanh dần đều
Bài 9: Chuyển động thẳng biến đổi đều là chuyển động:
A.Có quỹ đạo là đường thẳng, vectơ gia tốc bằng không
B.Có quỹ đạo là đường thẳng, vectơ gia tốc không thay đổi trong suốt quá trình chuyển động
C.Có quỹ đạo là đường thẳng, vectơ gia tốc và vận tốc không thay đổi trong suốt quá trình chuyển động
D.Có quỹ đạo là đường thẳng, vectơ vận tốc không thay đổi trong suốt quá trình chuyển động
Bài 10: Đặc điểm nào sau đây sai với chuyển động thẳng nhanh dần đều?
A. Hiệu quãng đường đi được trong những khoảng thời gian liên tiếp luôn bằng hằng số
B. Vận tốc của vật luôn dương
C. Quãng đường đi biến đổi theo hàm bậc hai của thời gian
D. Vận tốc biến đổi theo hàm bậc nhất của thời gian
Bài 11: Một xe lửa dừng lại hẳn sau 20s kể từ lúc bắt đầu hãm phanh. Trong thời gian đó xe chạy được 120 m. Tính vận tốc của xe lúc bắt đầu hãm phanh và gia tốc của xe.
Bài 12: Một chiếc canô chạy với v = 16 m/s, a = 2 m/s^2 cho đến khi đạt được v = 24 m/s thì bắt đầu giảm tốc độ cho đến khi dừng hẳn. Biết canô từ lúc bắt đầu tăng vận tốc cho đến khi dừng hẳn là 10s. Hỏi quãng đường canô đã chạy.
Đáp án:
Bài 1: B
Bài 2: C
Bài 3: A
Bài 4: C
Bài 5: B
Bài 6: A
Bài 7: A
Bài 8: C
Bài 9: B
Bài 10: B
Bài viết này đã chia sẻ lý thuyết về chuyển động thẳng biến đổi đều cũng như giải thích khái niệm hai loại chuyển động nhanh đều và chậm đều mà các em sẽ được học trong chương trình Vật Lý 10. Hy vọng rằng, những thông tin Monkey chia sẻ trên sẽ giúp các em hiểu và áp dụng tốt được vào các bài tập liên quan.


_(1).png)






