Kiến thức về cường độ dòng điện tuy không khó như những chương khác nhưng lại vô cùng quan trọng bởi đây là nền tảng của môn Vật lí 7. Thông qua cường độ dòng điện ta có thể biết độ mạnh hay yếu của dòng điện chạy trong mạch điện. Và để giúp các bạn hiểu rõ hơn về cường độ dòng điện là gì và công thức tính cường độ dòng điện ra sao thì Monkey xin chia sẻ bài viết Tổng hợp kiến thức liên quan đến cường độ dòng điện dễ hiểu trong nội dung bài viết dưới đây.
Cường độ dòng điện là gì
Tìm hiểu định nghĩa, đơn vị đo và dụng cụ đo cường độ dòng điện
Định nghĩa cường độ dòng điện
Cường độ dòng điện là một đại lượng đặc trưng cho độ mạnh hay yếu của dòng điện, số lượng điện tử đi qua tiết diện của vật dẫn trong một đơn vị thời gian. Nếu như dòng điện càng mạnh thì cường độ dòng điện càng lớn và ngược lại.
Ký hiệu cường độ dòng điện là I

Đơn vị đo cường độ dòng điện
Đơn vị đo cường độ dòng điện là Ampe (A), miliampe (mA) hoặc microampe (μA). Đây là đơn vị đo cường độ dòng điện chuẩn theo hệ đo lường quốc tế và nó được đặt theo tên nhà Vật lí người Pháp là André Marie Ampère.
Dưới đây là một số cách quy đổi các đơn vị đo cường độ dòng điện:
- 1 A = 1000 mA
- 1 mA = 1000 μA
- 1 mA = 11000 A
- 1 μA = 11000 mA = 11000000 A
Dụng cụ đo cường độ dòng điện
Hiện nay, có rất nhiều thiết bị được sử dụng để đo cường độ dòng điện khác nhau. Dưới đây Monkey sẽ kể tên cho bạn 3 thiết bị phổ biến để đo cường độ dòng điện cụ thể như sau:
Ampe kìm:
Dùng để đo cường độ dòng điện của một thiết bị điện khi sử dụng.
Thiết bị này được sử dụng bằng cách kẹp Ampe kìm vào 1 dây cấp nguồn cho thiết bị điện và cường độ dòng điện (I) sẽ hiện lên màn hình của ampe kìm.

Ampe kế:
Đây là thiết bị chuyên dụng dùng để đo độ mạnh, yếu của dòng điện có đơn vị đo là Ampe (A) hoặc Miliampe (mA).
Mỗi ampe kế sẽ có một giới hạn đo và độ chia khác nhau, với một số loại Ampe kế có độ chia nhỏ nhất chỉ bằng 0.5 mA.
Trên thiết bị này bạn có thể thấy các chốt ghi dấu (+) tương ứng với chốt dương và dấu (–) ứng với chốt âm. Đây là điểm để phân biệt 2 chốt và lắp dây sao cho phù hợp. Ở phía dưới thiết bị được lắp thêm nút điều chỉnh để đưa Ampe kế về số 0.

Đồng hồ vạn năng:
Đồng hồ vạn năng là thiết bị chuyên dùng để đo cường độ dòng điện.
Người dùng muốn đo cường độ dòng điện bằng thiết bị này cần phải đặt chức năng phù hợp cho nó.
Thiết bị này cũng có thể dùng để đo dòng điện xoay chiều và cũng cần được lựa chọn chức năng thích hợp.

Mỗi một thiết bị đo lại có một cách đo cường độ dòng điện khác nhau. Chính vì vậy mà Monkey sẽ chỉ ra hai cách đo thường được dùng là Ampe kế và đồng hồ đo vạn năng để bạn có thể áp dụng khi cần thiết.
Cách đo cường độ dòng điện bằng Ampe kế:
-
Bước 1: Lựa chọn Ampe kế có giới hạn đo và độ chia nhỏ phù hợp với dụng cụ cần đo.
-
Bước 2: Quan sát và điều chỉnh kim của Ampe kế sao cho về mức số 0.
-
Bước 3: Vẽ sơ đồ mạch điện trên giấy và tiến hành gắn Ampe kế với vật dẫn. ở bước này bạn cần chú ý là mắc vật dẫn thật cẩn thận, chính xác sao cho dòng điện đi vào ở chốt dương (+) và đi ra ở chốt âm (-) của Ampe kế. Không được mắc trực tiếp các chốt của Ampe kế vào hai cực của nguồn điện vì có thể gây hỏng Ampe kế.
-
Bước 4: Bạn hãy quan sát vạch kim của Ampe kế, kim chỉ vào số nào thì số đó chính là cường độ dòng điện cần đo.
Để có thể đo cường độ dòng điện xoay chiều bằng Ampe kế, các bạn cần thực hiện các bước sau:
-
Bước 1: Lựa chọn Ampe kế có giới hạn đo và độ chia nhỏ nhất phù hợp.
-
Bước 2: Cắm que đo màu đen vào đầu âm (-), que đỏ vào lỗ (A) nếu đo dòng lớn, lỗ (mA) nếu đo dòng nhỏ.
-
Bước 3: Điều chỉnh thang đo và dòng điện thành Ac
-
Bước 4: Nối que đo màu đỏ về phía cực dương (+), que đen về phía cực âm (-) theo chiều của dòng điện trong mạch.
-
Bước 5: Quan sát vạch kim hiển thị trên màn hình.
Phân loại cường độ dòng điện
Tìm hai hai loại cường độ dòng điện một chiều và cường độ dòng điện xoay chiều.
Cường độ dòng điện một chiều
Đây là một tên gọi khác của các dòng điện dân dụng (ký hiệu DC) mà chúng ta thường sử dụng trong sinh hoạt. Tất cả các hạt electron bên trong dòng điện này đều di chuyển cùng hướng với nhau theo một chiều nhất định để tạo nên điện tích.
Dòng điện một chiều có thể thay đổi tăng giảm tùy theo nhu cầu sử dụng. Tuy nhiên không thể thay đổi chiều của dòng điện và nó hoàn toàn cố định. Vì vậy người ta quy định là chiều từ dương (+) sang âm (-)
Để đo lường được trị số của dòng điện một chiều, người ta sẽ dùng thiết bị gọi là đồng hồ đo vạn năng.
Cường độ dòng điện xoay chiều

Dòng điện xoay chiều (ký hiệu là AC hoặc ~) là dòng điện có chiều và độ lớn biến đổi theo chu kỳ nhất định của các electron bên trong. Dòng điện xoay chiều sẽ biến thiên liên tục và nhờ đó có thể duy trì được khả năng tải điện lớn và liên tục trong thời gian dài.
Dòng AC được tạo nên từ các thiết bị phát điện xoay chiều của các nhà máy phát điện lớn. Một số khác hình thành từ dòng DC thông qua các mạch điện với kết cấu đặc thù riêng.
Với cách tạo ra nguồn điện đa dạng như vậy, chúng ta có thể sử dụng nguồn AC trong hệ thống lưới điện quốc gia. Từ đó có thể phân phát điện đến mọi vùng miền và hàng triệu gia đình với hàng loạt thiết bị khác nhau một cách đơn giản.
Phần lớn các thiết bị điện gia dụng hiện nay đều đang sử dụng điện xoay chiều như: tivi, bình nóng lạnh, quạt công nghiệp, nồi cơm điện, máy giặt, bếp điện, bóng đèn,….
Tổng hợp công thức tính cường độ dòng điện
Dưới đây là tổng hợp những công thức liên quan đến tính cường độ dòng điện.
Công thức tính cường độ dòng điện trung bình

Trong đó:
-
Itb là cường độ dòng điện trung bình (A).
-
Δt là một khoảng thời gian được xét nhỏ.
-
ΔQ là điện lượng được xét trong khoảng thời gian Δt (C).
Công thức tính cường độ dòng điện tức thời

Hoặc:
|
I = P:U |
Trong đó:
-
I: là cường độ dòng điện (A).
-
P: là công suất tiêu thụ của thiết bị điện (KW)
-
U: là hiệu điện thế (V).
Công thức khác:

Hoặc:
|
U = I.R |
Trong đó:
-
I: chính là cường độ dòng điện (A).
-
U: là hiệu điện thế (V).
-
R: là điện trở (Ω).
Công thức tính cường độ dòng điện qua định luật ôm
Định luật ôm là một định luật vật lý về sự phụ thuộc vào cường độ dòng điện của hiệu điện thế và điện trở.
Định luật này cho rằng cường độ dòng điện đi qua hai điểm của dây dẫn điện luôn tỷ lệ thuận với hiệu điện thế ở hai đầu dây với vật dẫn điện có điện trở là một hằng số và cường độ dòng điện sẽ tỉ lệ nghịch điện trở của dây dẫn.
Có công thức:

Trong đó:
-
I: cường độ dòng điện đi qua vật dẫn (A).
-
U: hiệu điện thế đoạn mạch (V).
-
R: là điện trở (Ω).
Tính cường độ dòng điện trong đoạn mạch theo định luật ôm

Trong đó:
-
I: cường độ dòng điện trong đoạn mạch kín (A).
-
E: suất điện động (V).
-
RN : điện trở ngoài (Ω).
-
r: điện trở trong (Ω).
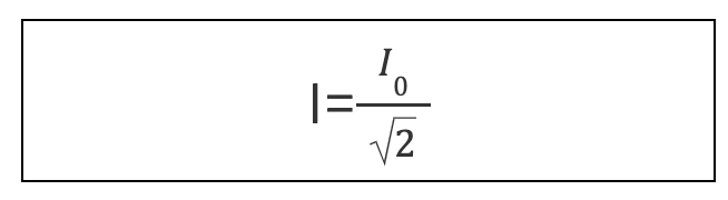
Công thức tính cường độ dòng điện hiệu dụng

Trong đó:
-
I là cường độ dòng điện hiệu dụng (A).
-
Io là cường độ dòng điện cực đại (A).
Công thức tính cường độ dòng điện định mức

Trong đó:
-
I: cường độ của dòng điện định mức (A).
-
P: công suất điện (W).
-
U: hiệu điện thế (V).
Công thức tính cường độ dòng điện cực đại

Trong đó:
-
I: cường độ dòng điện hiệu dụng (A).
-
I0: cường độ dòng điện cực đại (A).
Công thức tính cường độ dòng điện bão hòa

Trong đó:
-
Ibh: cường độ dòng điện bão hòa (A).
-
n: là số electron
-
e: điện tích electron. .
Công thức tính cường độ dòng điện 3 pha

Trong đó:
-
I3p: cường độ dòng điện ba pha (A)
-
P: công suất điện (W).
-
U: hiệu điện thế (V).
Xem thêm: Giải thích điện trở của dây dẫn, công thức tính & bài tập thực hành
Ý nghĩa & ứng dụng cường độ dòng điện trong đời sống
Hiện nay, những ứng dụng của dòng điện rất dễ dàng nhận thấy trong cuộc sống hàng ngày. Chúng là một phần không thể thiếu cũng như chi phối tới toàn bộ hoạt động của cuộc sống.
-
Tác dụng nhiệt của dòng điện

Ứng dụng của sự tác dụng nhiệt được thể hiện qua sự vận hành của bàn là. Khi cắm điện, dòng điện chạy qua làm bàn là làm nó nóng lên nên những lúc chúng ta dùng bàn là để là quần áo sẽ nên phẳng. Ngoài ra nó còn được thể hiện qua bếp điện, nồi cơm điện, bình siêu tốc, cầu chì,…
-
Tác dụng quang của dòng điện

Dòng điện đi qua các thiết bị như bóng đèn biến điện năng thành quang năng khiến bóng đèn phát sáng. Đó là một trong những tác dụng rất quan trọng của dòng điện.
-
Dòng điện có tác dụng từ

Khi dòng điện chạy qua một cuộn dây quấn quanh lõi sắt sẽ làm cho kim nam châm bị lệch ra khỏi vị trí cân bằng cũng như cho khả năng hút kim loại.
Ứng dụng thực tiễn từ tác dụng từ của dòng điện chính là để chế tạo chuông điện, động cơ điện, nam châm điện,…
-
Tác dụng hóa học của dòng điện
Ứng dụng lớn nhất cho tác dụng hóa học chính là khả năng mạ điện.
-
Tác dụng sinh lí của dòng điện

Tác dụng này chúng ta dễ gặp trong ngành Y. Dòng điện với cường độ nhỏ phù hợp với việc chữa bệnh như châm cứu, sốc tim,…
Tuy nhiên, nếu như sử dụng điện với cường độ không phù hợp thì có thể gây nguy hiểm như các cơ bị co giật, nghẹt thở, thần kinh tê liệt, tim ngừng đập,…
Trên đây là những kiến thức về cường độ dòng điện mà Monkey biên soạn một cách khoa học nhằm giúp bạn nắm được kiến thức sao cho hiệu quả. Hy vọng bài viết này giúp các bạn tích lũy thêm một số kiến thức bổ ích có thể góp phần trong việc học cũng như vận dụng vào cuộc sống hàng ngày.
Bạn cũng đừng quên chia sẻ bài viết và thường xuyên truy cập vào chuyên mục kiến thức cơ bản để cập nhiều thông tin hữu ích và thú vị từ Monkey nhé.










