3 Định luật Newton được đưa vào chương trình giảng dạy Vật Lý 10 vì tính ứng dụng rộng rãi trong đời sống thực tế. Việc hiểu và nắm rõ được lý thuyết của định luật Newton sẽ giúp các em lý giải được các hiện tượng xảy ra xung quanh cuộc sống thường ngày. Bài viết sau đây sẽ đề cập đến các nội dung quan trọng của 3 định luật Newton và bài tập có đáp án chi tiết giúp ích cho quá trình học tập của các em.
 
                                
                                
                                                                        | BẢN AUDIO TÓM TẮT NHANH NỘI DUNG 
 | 
Định luật Newton là gì?
Định luật Newton là tập hợp ba định luật cơ bản trong cơ học cổ điển, do Isaac Newton (1643–1727) xây dựng. Các định luật này mô tả mối quan hệ giữa lực, khối lượng và chuyển động của vật thể.
Ba định luật Newton là nền tảng giúp con người hiểu và dự đoán cách vật chuyển động khi chịu tác dụng của lực, đồng thời ứng dụng rộng rãi trong đời sống, kỹ thuật, cơ khí, hàng không và vũ trụ học.
Ba định luật Newton bao gồm:
- 
Định luật I – Định luật Quán tính 
- 
Định luật II – Định luật Lực (F = m × a) 
- 
Định luật III – Định luật Phản lực 
Định luật 1 Newton
Thí nghiệm lực ma sát của Ga-li-lê
Thí nghiệm:
- 
Ga-li-lê tiến hành dùng hai máng nghiêng tương tự như chiếc máng nước có bề mặt rất trơn. Sau đó, ông thả một hòn bi lăn xuống theo chiều máng nghiêng 1. 
- 
Kế tiếp hòn bi sẽ lăn ngược lên máng 2 đến một độ cao nhất định, thường sẽ gần bằng với độ cao ban đầu. Khi hạ thấp độ nghiêng của máng 2 thì thấy hòn bi lăn trên máng 2 được một đoạn đường dài hơn ban máng 1. 
Giải thích: Ga-li-lê cho rằng hòn bi sẽ không lăn được đến độ cao ban đầu. Nguyên nhân là do có ma sát. Ông tiên đoán rằng nếu 2 máng nằm ngang và không có ma sát thì hòn bi sẽ chuyển động với vận tốc không đổi mãi mãi.

Định luật 1 Newton
Nội dung định luật 1 Newton
Định luật 1 Newton phát biểu rằng: Nếu một vật không chịu tác dụng của bất cứ lực nào hoặc chịu tác dụng của nhiều lực nhưng tổng hợp lực của các lực này bằng không thì vât giữ nguyên trạng thái chuyển động thẳng đều hoặc đứng yên.
Nói một cách cụ thể hơn, nếu một vật không bị tác dụng bởi bất kỳ lực nào hoặc chịu lực tác dụng nhưng hợp lực bằng 0 thì nếu vật đó đang đứng yên sẽ đứng yên mãi mãi, còn nếu vật đó đang chuyển động thì sẽ chuyển động thẳng đều mãi mãi. Trạng thái chuyển động ở trong trường hợp này được lý giải bởi đặc trưng vận tốc của chuyển động.
Ở đây, lực không phải là yếu tố chính gây nên chuyển động, mà lực chỉ là tác nhân làm thay đổi trạng thái chuyển động (đứng yên) của vật.
Biểu thức định luật 1 Newton

Quán tính là gì
Quán tính là tính chất của mọi vật có xu hướng bảo toàn vận tốc cả về hướng lẫn về độ lớn.
Lưu ý: Định luật I Newton còn có tên gọi khác là định luật quán tính. Chuyển động thẳng đều thường được gọi là chuyển động theo quán tính
Ứng dụng định luật I Newton
Định luật I Newton lý giải tính chất quán tính của một vật. Nói cách khác, đó là tính chất bảo toàn trạng thái lúc chuyển động. Định luật I Newton được vận dụng khá nhiều trong thực tế.
Ví dụ: như khi bạn đang ngồi trên một xe ôtô, khi chiếc xe bắt đầu chạy, mọi người ngồi trên xe theo quán tính sẽ bị ngã về phía sau. Trái lại, lúc xe đột ngột phanh gấp lại thì mọi người sẽ bị chúi về phía trước. Tương tự như lúc xe cua sang trái hoặc sang phải.

Định luật 2 Newton
Nội dung định luật 2 Newton
Định luật 2 Newton phát biểu rằng: Sự biến thiên động lượng của một vật tỉ lệ thuận với xung lực đã tác dụng lên nó. Vectơ biến thiên động lượng với vectơ xung lực gây ra nó luôn cùng hướng. Hay gia tốc của một vật sẽ cùng hướng với lực tác dụng lên vật. Độ lớn của gia tốc luôn tỉ lệ thuận với độ lớn của lực và tỉ lệ nghịch với khối lượng của vật đó.
Biểu thức định luật 2 Newton
| a = F/m hay F = m.a (a và F là đại lượng vectơ | 
Trong đó: 
- 
Vectơ F: là tổng các ngoại lực tác dụng lên vật ( N) 
- 
Vectơ a: là gia tốc (m/s²) 
- 
M: là khối lượng vật (kg) 
Lưu ý: Trong trường hợp nhiều lực cùng một lúc tác dụng lên vật như lực F1, F2, …,Fn thì F được gọi là là hợp lực của các lực. Khi đó:
F = F1 + F2 + F3 +... + Fn (Các đại lượng F là đại lượng vectơ)

Khối lượng và mức quán tính
Khối lượng được định nghĩa là đại lượng đặc trưng cho mức quán tính của vật.
Khối lượng có các tính chất sau:
- 
Khối lượng có tính chất cộng 
- 
Khối lượng là một đại lượng vô hướng, có giá trị dương và không đổi đối với mỗi vật. 
Trọng lực, trọng lượng
Trọng lực được định nghĩa là lực của Trái Đất tác dụng vào vật, làm cho chúng xuất hiện một gia tốc rơi tự do. Kí hiệu của trọng lực là vectơ P.
Đặc điểm của trọng lực:
- 
Ở gần trái đất trọng lực có chiều từ trên xuống và có phương thẳng đứng. 
- 
Điểm đặt của trọng lực gọi là trọng tâm của vật. 
Trọng lượng được định nghĩa là độ lớn của trọng lực tác dụng lên một vật bất kì, có kí hiệu là P. Người ta dùng lực kế để xác định giá trị của trọng lượng.
Công thức tính trọng lượng: P = m.g (P và g là đại lượng vectơ)
Ứng dụng định luật 2 Newton
Định luật 2 Newton đã giúp chúng ta hiểu hơn về khái niệm lực, cũng như mối quan hệ giữa gia tốc, hợp lực và khối lượng của vật. Từ những mối quan hệ này, người ta có thể ứng dụng vào cuộc sống để làm giảm ma sát khi cần thiết, cung như việc sản xuất những máy móc, thiết bị, dụng cụ với khối lượng hợp lý.
Ví dụ: Đối với xe đua, nhờ vào định luật 2 Newton, những nhà sản xuất sẽ tìm cách tính toán để làm giảm khối lượng xe, giúp xe có thể tăng tốc nhanh hơn.
Định luật 3 Newton
Sự tương tác giữa các vật
Khi một vật tác dụng một lực lên vật khác thì vật đó cũng bị vật đó cũng tác dụng ngược trở lại một lực. Khi đó, ta nói giữa 2 vật có sự tương tác lực.
Nội dung định luật 3 Newton
Định luật Newton thứ 3 phát biểu rằng: Đối với mỗi lực tác động luôn luôn có một phản lực có cùng độ lớn. Hay nói cách khác, các lực tương tác giữa 2 vật bao giờ cũng là những cặp lực có cùng phương, cùng độ lớn, có chiều ngược nhau và khác điểm đặt.
Biểu thức định luật 3 Newton

Ứng dụng định luật 3 Newton
Định luật 3 Newton chứng minh rằng lực không xuất hiện riêng lẻ, mà sẽ có sự xuất hiện theo từng cặp động lực, phản lực. Lực chỉ xuất hiện khi có sự tương tác nhất định giữa 2 hoặc nhiều vật với nhau.
Ví dụ: Khi đập quả bóng vào tường, tác dụng vào tường một lực ép. Theo định luật 3 Newton, tường sẽ tác dụng lại quả bóng một phản lực làm quả bóng bị bật ngược trở lại.

Xem thêm: Chuyển động tròn đều là gì? Các đại lượng đặc trưng và công thức tính cần nhớ (Vật Lý 10)
Thực hành bài tập về 3 định luật Newton (Vật Lý 10)
Sau đây là các bài tập đi kèm với đáp án cụ thể giúp các em củng cố kiến thức về 3 định luật Newton.
Câu 1: Vật nào sau đây chuyển động theo quán tính?
A. Vật chuyển động tròn đều.
B. Vật chuyển động trên quỹ đạo thẳng.
C. Vật chuyển động thẳng đều.
D. Vật chuyển động rơi tự do.
Đáp án: Chọn C.
Giải thích: Vật chuyển động thẳng đều đồng nghĩa với việc gia tốc a = 0, hợp lực tác dụng lên vật bằng 0. Theo định luật I Newton, vật chuyển động như vậy được gọi là chuyển động theo quán tính.
Câu 2: Khi nói về một vật chịu tác dụng của lực, phát biểu nào sau đây đúng?
A. Khi không có lực tác dụng, vật không thể chuyển động.
B. Khi ngừng tác dụng lực lên vật, vật này sẽ dừng lại.
C. Gia tốc của vật luôn cùng chiều với chiều của lực tác dụng.
D. Khi có tác dụng lực lên vật, vận tốc của vật tăng.
Đáp án: Chọn C.
Giải thích: Theo định luật II Niu-tơn, gia tốc của một vật cùng hướng với lực tác dụng lên vật. Độ lớn của gia tốc tỉ lệ thuận với độ lớn của lực và tỉ lệ nghịch với khối lượng của vật.
Câu 3: Một lực có độ lớn 4N tác dụng lên vật có khối lượng 0,8kg đang đứng yên. Bỏ qua ma sát và các lực cản. Gia tốc của vật có giá trị bằng
A. 32 m/s^2.
B. 0,005 m/s^2.
C. 3,2 m/s^2.
D. 5 m/s^2.
Đáp án: Chọn D.
Giải thích: Gia tốc của vật bằng a = F/m = 4/0,8 = 5 (m/s^2)
Câu 4: Một quả bóng có khối lượng 500 g đang nằm yên trên mặt đất thì bị một cầu thủ đá bằng một lực 250 N. Bỏ qua mọi ma sát. Gia tốc mà quả bóng thu được là
A. 2m/s^2.
B. 0,002m/s^2.
C. 0,5m/s^2.
D. 500m/s^2.
Đáp án: Chọn D.
Giải thích: Gia tốc mà quả bóng thu được là a = F/m = 4/0,8 = 5 (m/s^2)
Câu 5: Lần lượt tác dụng có độ lớn F1 và F2 lên một vật khối lượng m, vật thu được gia tốc có độ lớn lần lượt là a1 và a2. Biết 3F1 = 2F2. Bỏ qua mọi ma sát. Tỉ số a2/a1 là
A. 3/2.
B. 2/3.
C. 3.
D. 1/3.
Đáp án: Chọn A.
Giải thích: Áp dụng định luật II Niu-tơn
Ta có: F1 = m.a1; F2 = m.a2
Vậy: F2/F1= a2/a1 = 3/2
Câu 6: Một ôtô có khối lượng 1 tấn đang chuyển động với v = 54km/h thì tắt máy, hãm phanh, chuyển động chậm dần đều. Biết độ lớn lực hãm 3000N. Xác định quãng đường xe đi được cho đến khi dừng lại.
A. 18,75 m.
B. 486 m.
C. 0,486 m.
D. 37,5 m.
Đáp án: Chọn D
Giải thích:
Chọn chiều (+) là chiều chuyển động, gốc thời gian lúc bắt đầu hãm phanh.

Câu 7: Một lực có độ lớn 2N tác dụng vào một vật có khối lượng 1kg lúc đầu đứng yên. Quãng đường mà vật đi được trong khoảng thời gian 2s là
A. 2 m.
B. 0,5 m.
C. 4 m.
D. 1 m.
Đáp án: Chọn C
Giải thích: Áp dụng định luật II Niu-tơn
Ta có: a = F/m = 2m/s^2
=> Quãng đường mà vật đi được trong khoảng thời gian 2s là:

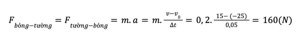
Câu 8: Một quả bóng khối lượng 200g bay với vận tốc 90km/h đến đập vuông góc vào tường rồi bật trở lại theo phương cũ với vận tốc 54km/h. Thời gian va chạm giữa bóng và tường là 0,05s. Độ lớn lực của tường tác dụng lên quả bóng là
A. 120 N.
B. 210 N.
C. 200 N.
D. 160 N.
Đáp án: Chọn D.
Giải thích:
Ban đầu bóng có vận tốc: v(o) =90 km/h = 25m/s.
Sau va chạm, bóng có vận tốc: v = 54 km/h = 15 m/s.
Chọn chiều (+) cùng chiều chuyển động bật ra của quả bóng.
Áp dụng định luật III Niu-tơn:

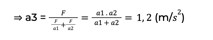
Câu 9: Lực F truyền cho vật khối lượng m1 gia tốc a1 = 2m/s^2, truyền cho vật khối lượng m2 gia tốc a2 = 3m/s^2. Hỏi lực F sẽ truyền cho vật có khối lượng m3 = m1 + m2 gia tốc là bao nhiêu?
A. 5m/s^2.
B. 1m/s^2.
C. 1,2 m/s^2.
D. 5/6m/s^2.
Đáp án: Chọn C.
Giải thích: Áp dụng định luật II Niu-tơn
m1 = F/a1; m2 = F/a2; m3 = F/a3 = F/(m1 + m2)

Câu 10: Một vật khối lượng 5kg được ném thẳng đứng hướng xuống với vận tốc ban đầu 2m/s từ độ cao 30m. Vật này rơi chạm đất sau 3s sau khi ném. Cho biết lực cản không khí tác dụng vào vật không đổi trong quá trình chuyển động. Lấy g = 10m/s^2. Lực cản của không khí tác dụng vào vật có độ lớn bằng:
A. 23,35 N.
B. 20 N.
C. 73,34 N.
D. 62,5 N.
Đáp án: Chọn A.
Giải thích:
Vật chuyển động nhanh dần đều nên quãng đường vật đi được sau 3 s sau khi ném là:

FAQ - Một số câu hỏi thường gặp
1. Định luật Newton là gì?
Định luật Newton là ba định luật cơ bản mô tả mối quan hệ giữa lực, khối lượng và chuyển động của vật thể, do nhà vật lý Isaac Newton phát biểu. Đây là nền tảng của cơ học cổ điển.
2. Có bao nhiêu định luật Newton?
Có 3 định luật của Newton:
- Định luật I – Định luật Quán tính
- Định luật II – Định luật Lực (F = m × a)
- Định luật III – Định luật Phản lực
3. Ý nghĩa của các định luật Newton là gì?
Định luật 1 2 3 Newton giúp giải thích vì sao vật đứng yên, chuyển động, tăng tốc hoặc chịu phản lực khi có tác dụng của lực. Chúng là cơ sở để hiểu và tính toán các hiện tượng vật lý trong đời sống và kỹ thuật.
4. Định luật II Newton được áp dụng trong trường hợp nào?
Định luật II Newton (F = m × a) được dùng khi cần xác định lực, khối lượng hoặc gia tốc của vật. Ví dụ: tính lực cần thiết để xe tăng tốc hoặc tính gia tốc của vật khi biết lực tác dụng.
5. Ví dụ thực tế về các định luật của Newton là gì?
- Định luật I: Khi xe phanh gấp, hành khách bị nghiêng về phía trước.
- Định luật II: Cần lực lớn hơn để đẩy vật nặng.
- Định luật III: Khi bơi, tay đẩy nước ra sau thì người tiến về phía trước.
6. Định luật newton 1 2 3 có được áp dụng trong vũ trụ không?
Có, nhưng chỉ chính xác trong phạm vi vận tốc nhỏ hơn nhiều so với vận tốc ánh sáng. Ở quy mô rất lớn hoặc tốc độ cao, phải dùng thuyết tương đối của Einstein để mô tả chính xác hơn.
7. Ai là người phát hiện ra định luật 1 2 3 của Newton?
Nhà khoa học người Anh Isaac Newton (1643–1727) là người phát biểu và chứng minh ba định luật chuyển động, đặt nền móng cho vật lý học hiện đại.
Kết luận
Các kiến thức về 3 định luật Newton đã được Monkey tổng hợp đầy đủ trong bài viết. Định luật Newton không chỉ được ứng dụng trong bộ môn Vật Lý, mà còn giúp ích rất nhiều cho các em trong việc giải thích các hiện tượng xung quanh. Hy vọng các em có thể nâng cao khả năng tư duy và kết quả học tập thông qua bài viết trên.
 
             
                




.png) 
                        .png) 
                                     
                     
                     
                     
                     
                            
                            
                        




