Đạo hàm là một dạng kiến thức toán lớp 11 thường có trong các kỳ thi quan trọng từ học kỳ, thi quốc gia, thi THPT, thi đại học. Vậy nên, việc ôn và giải bài tập đạo hàm thường xuyên là giải pháp giúp học sinh đạt kết quả cao cho mình.
Vậy nên, nội dung bài viết sau đây Monkey sẽ chia sẻ các dạng bài tập về đạo hàm lớp 11 có lời giải để mọi người cùng tham khảo và áp dụng nhé.
Một số sai lầm khi giải bài tập đạo hàm mà học sinh nên tránh
Trong quá trình học, giải bài tập về đạo hàm lớp 11 các em thường mắc một số sai lầm do không nắm được những kiến thức căn bản như:

- Tính đơn điệu của hàm số trên một khoảng.
- Không hiểu chính xác về định nghĩa của một điểm tới hạn của hàm số khi tính đạo hàm.
- Điều kiện đạo hàm hàm số đơn điệu trên khoảng hay đạo hàm đạt cực trị tại một điểm X0
- Giá trị nhỏ nhất, lớn nhất của hàm số trên miền D khi tính đạo hàm.
- Bản chất sự khác nhau giữa tiếp tuyến tại 1 điểm thuộc đồ thị số dựa trên tiếp tuyến kẻ từ 1 điểm đến một đồ thị đã cho.
- Tính đơn điệu của đạo hàm hàm số.
- Điểm tới hạn của hàm số nên khi xét dấu đạo hàm y’ thường bị nhầm lẫn.
- Vận dụng sai tính chất khi tính đạo hàm của hàm nghịch biến, đồng biến.
- Vận dụng sai công thức tính đạo hàm, hay đạo hàm tại một điểm.
- Chưa nắm được kiến thức cơ bản đã học đạo hàm nâng cao.
Các dạng bài tập đạo hàm 11 thường gặp nhất
Một trong những yếu tố quan trọng khi giải đạo hàm 11 chính là nắm được những dạng toán thường gặp, để áp dụng đúng phương pháp giải chính xác hơn.
Cụ thể, các bài tập về đạo hàm thường sẽ có những dạng cơ bản sau:
Dạng 1: Tính đạo hàm bằng định nghĩa
Đây được xem là một trong những dạng toán đạo hàm 11 cơ bản nhất. Các em chỉ cần dựa vào định nghĩa để có thể áp dụng và tính toán một cách chính xác. Cụ thể:

Dạng 2: Chứng minh các đẳng thức về đạo hàm
Một trong các dạng đạo hàm này sẽ chú trọng việc chứng minh một hệ thức dựa trên một điều kiện cho sẵn. Đòi hỏi các em sẽ phải chứng minh, tính toán chúng sao cho ra được kết quả cuối cùng.

Dạng 3: Viết phương trình tiếp tuyến khi biết tiếp điểm
Đây là một trong những dạng giải bài tập đạo hàm lớp 11 khá phổ biến. Cụ thể sẽ có một phương trình tiếp tuyến của hàm số trên đồ thị đường cong (C): y= f(x) tại tiếp điểm M( x0 ; y0) có dạng: y = y’(x0)(x-x0) + y0.
Ví dụ: Cho hàm số y= x3 + 3mx2 + ( m+1)x + 1 (1), m là tham số thực. Tìm các giá trị của m để tiếp tuyến của đồ thị của hàm số (1) tại điểm có hoành độ x = -1 đi qua điểm A( 1;2).
Tập xác định D = R
y’ = f'(x)= 3x2 + 6mx + m + 1
Với x0 = -1 => y0= 2m -1, f'( -1) = -5m + 4
Phương trình tiếp tuyến tại điểm M( -1; 2m – 1) : y= ( -5m + 4 ) ( x+1) + 2m -1 (d)
Ta có A ( 1;2) ∈ (d) <=> ( -5m + 4).2 + 2m – 1 = 2 => m = 5/8
Dạng 4: Viết phương trình tiếp khi biết hệ số góc
Viết phương trình tiếp tuyến Δ của ( C ) : y = f( x ), biết Δ có hệ số góc k cho trước
Gọi M( x0 ; y0) là tiếp điểm. Tính y’ => y'(x0)
Do phương trình tiếp tuyến Δ có hệ số góc k => y’ = ( x0 ) = k (i)
Giải (i) tìm được x0 => y0 = f(x0) => Δ : y = k (x – x0 )+ y0
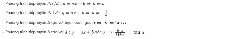
Lưu ý: Hệ số góc k = y'( x0 ) của tiếp tuyến Δ thường cho gián tiếp như sau:

Ví dụ: Cho hàm số y=x3+3x2-9x+5 ( C). Trong tất cả các tiếp tuyến của đồ thị ( C ), hãy tìm tiếp tuyến có hệ số góc nhỏ nhất.
Ta có y’ = f'( x ) = 3x2 + 6x – 9
Gọi x0 là hoành độ tiếp điểm của tiếp tuyến, vậy f'( x0) = 3 x02 + 6 x0 – 9
Ta có 3 x02 + 6x0– 9 =3 ( x02+ 2x0 +1) – 12 = 3 (x0+1)2– 12 > – 12
Vậy min f( x0)= – 12 tại x0= -1 => y0=16
Suy ra phương trình tiếp tuyến cần tìm: y= -12( x+1)+16 <=> y= -12x + 4
Dạng 5: Phương trình và bất phương trình có đạo hàm
Ở dạng toán này sẽ kết hợp nhiều công thức để có thể giải phương trình hoặc một bất phương trình được đưa ra rồi tính toán ra được con số cuối cùng.

Dạng 6: Tính đạo hàm bằng công thức
Ở đây các em cần phải thuộc những công thức tính đạo hàm cơ bản để có thể giải quyết được những bài tập một cách chính xác. Trường hợp, nếu thấy những hàm số phức tạp thì bạn có thể rút gọn trước hàm số rồi mới tiến hành tính đạo hàm, nhất là hàm lượng giác nhé.


Dạng 7: Phương trình tiếp tuyến của đồ thị hàm số tại một điểm cho trước thuộc đồ thị hoặc có hệ số góc cho trước
Khi làm dạng bài tập đạo hàm này, học sinh cần phải nắm vững hai dạng viết phương trinh tiếp tuyến cơ bản sau đây:

Dạng 8: Tính đạo hàm cấp cao
Ở dạng bài tập về đạo hàm 11 cấp cao thường thiên về tính đạo hàm cấp 2 trở lên, lúc này các em có thể áp dụng công thức y(n) = (y(n-1))’.
Còn trường hợp để tính đạo hàm cấp n, các em sẽ phải tính đạo hàm từ cấp 1, 2, 3,.... rồi từ đó mới tìm công thức tính đạo hàm cấp n. Thường có thể áp dụng phương pháp quy nạp toán học để chứng minh được công thức đó là đúng.

|
GIÚP CON HỌC TOÁN KẾT HỢP VỚI TIẾNG ANH SIÊU TIẾT KIỆM CHỈ TRÊN MỘT APP MONKEY MATH. VỚI NỘI DUNG DẠY HỌC ĐA PHƯƠNG PHÁP GIÚP BÉ PHÁT TRIỂN TƯ DUY NÃO BỘ VÀ NGÔN NGỮ TOÀN DIỆN CHỈ VỚI KHOẢNG 2K/NGÀY.
|
Một số bài tập đạo hàm có lời giải để học sinh tự luyện
Để có thể giải được các bài tập về đạo hàm lớp 11 chính xác, đòi hỏi các em phải thực hành làm bài tập nhiều hơn. Kết hợp với việc nắm vững các công thức, quy tắc và các dạng toán thì chắc chắn chương đạo hàm sẽ không còn làm khó bạn.
Vậy nên, dưới đây là một số bài tập Monkey tổng hợp để các em có thể tham khảo và tự luyện tập:

Monkey Math - Ứng dụng học toán tiếng Anh chỉ với 2K/Ngày
Danh sách bài tập đạo hàm trắc nghiệm từ dễ đến khó giúp học sinh rèn luyện mỗi ngày
Công thức đạo hàm nguyên hàm và những kiến thức cần nhớ muốn giải toán chính xác
Làm thế nào để giải bài tập đạo hàm lớp 11 hiệu quả?
Để có thể khắc phục được những sai lầm trên, đòi hỏi các em cần phải luyện tập nhiều. Ngoài ra, mọi người có thể áp dụng một số phương pháp hiệu quả ngay sau đây:
Nắm rõ công thức, định nghĩa của đạo hàm
Trong bộ môn Đại Số lớp 11, đạo hàm được xem là chuyên đề quan trọng mà các em cần phải chú ý. Bởi vì đây là dạng toán xuất hiện ở mọi kỳ thi từ học kỳ, THPT, đại học và thậm chí khi vào đại học vẫn gặp lại chúng.
Vậy nên, để học tốt đạo hàm trước hết mọi người phải nắm rõ định nghĩ, công thức và những quy tắc trong cách tính đạo hàm. Tất nhiên, các em không nên học vẹt chúng mà không hiểu gì.
Thay vào đó, các em nên đọc hiểu công thức, mổ xẻ từng định nghĩa, định lý và biết cách vận dụng từng công thức vào từng dạng bài tập. Để giúp học nhanh, hiểu sâu và quy tắc và công thức thì các em nên hệ thống cũng như sắp xết chúng theo những nguyên tắc như thứ tự, dạng toán…

Luyện tập giải bài tập đạo hàm lớp 11 từ cơ bản đến nâng cao
Nếu chỉ đơn thuần là hiểu công thức, quy tắc thôi là chưa đủ. Nếu các em không dành thời gian để vận dụng chúng vào những bài tập đạo hàm cụ thể thì cũng sẽ mang tính chất “học vẹt”. Chính việc luyện tập giải bài tập thường xuyên chính là công cụ giúp các em tiếp thu kiến thức chương đạo hàm này tốt hơn.
Hiện nay, có nhiều dạng khác nhau từ cơ bản đến bài tập đạo hàm nâng cao. Đạo hàm từ định nghĩa, công thức, tiếp tuyến đồ thị, đạo hàm cao cấp… mỗi dạng đều có những bài toán từ đơn giản đến phức tạp.
Chính vì vậy, các em cần phải nắm rõ những dạng bài tập này trong sách giáo khoa, các nguồn tài liệu đề thi Toán, bài tập của thấy cô…. Để từ đó mọi người sẽ luyện tập thường xuyên với chúng để hiểu và thực hành nhiều hơn.

Đọc hiểu phần điều kiện khi giải bài tập toán đạo hàm
Trong giải toán đạo hàm luôn sẽ có những điều kiện cho trước để giải ấn số của bài toán đó. Chính vì vậy, các em cần phải đọc hiểu điều kiện khi giải bài tập một cách chính xác.
Sẽ không có điều kiện đối với một bài toán đạo hàm thông thường. Nhưng yêu cầu thường nằm ở mục câu hỏi phụ ví dụ như giải được nghiệm của phương trình,… để từ đó tạo tiền đề để giải bài tập đúng dựa trên những điều kiện đó hơn.
Rút ra kinh nghiệm học và giải bài tập về đạo hàm riêng cho mình
Với việc học toán nói chung, kiến thức đạo hàm nói riêng thì các em có thể học từ sách giáo khoa, thầy cô, bạn bè, gia sư… Nhưng việc tự bản thân mình rút ra kinh nghiệm lại là phương pháp học tốt nhất.
Đặc biệt, bạn không nên quá lệ thuộc vào thầy cô hay sách giải. Trong quá trình làm bài tập đạo hàm thường xuyên, chắc chắn bạn sẽ tự phát hiện được mình thường sai ở đâu, từ đó sẽ dễ dàng rút ra được kinh nghiệm và bài học cho riêng mình.
Bên cạnh đó, trong toán đạo hàm cũng có những công thức tính nhanh, mẹo nhận biết dạng bài tập… Chính vì vậy, các em nên biết đến những thủ thuật này để giải toán hiệu quả, nhanh và chính xác hơn.

Luôn kiên trì và thực hành nhiều bài tập
Việc các em hiểu rõ bản chất của đạo hàm, chỉ cần kết hợp với việc kiên trì, làm nhiều bài tập chắc chắn việc học chương này không còn khó khăn. Vậy nên, hãy dành thời gian làm hết bài tập ở sách giáo khoa, sách bài tập cũng đã nắm được 80 – 90% kỹ năng giải bài tập đạo hàm rồi.
Ngoài ra, việc học hỏi từ thầy cô, bạn bè và bản thân đúc kết kinh nghiệm cũng sẽ giúp các em phát hiện những thiếu sót để khắc phục và phát huy tốt hơn.
Một số lưu ý khi giải bài tập về đạo hàm lớp 11
Để có thể giải bài tập đạo hàm gia tăng tính chính xác hơn, các em cần phải lưu ý một số vấn đề sau:
- Rèn luyện thật nhiều bài tập để tự đúc kết kinh nghiệm cho mình.
- Có thái độ học tập chăm chỉ, kiên trì và không nản chí.
- Ngoài kiến thức SGK, trên trường có thể học đạo hàm trên internet để học và trải nghiệm.
- Học tốt phần tính giới hạn của hàm số sẽ giúp bạn ghi nhớ được công thức đạo hàm nhanh và tốt hơn.
- Không ngại trao đổi cùng thầy cô, phụ huynh, bạn bè nếu gặp khó khăn về đạo hàm
Xem thêm: Đạo hàm 1/x là gì? Các dạng bài tập và cách giải đạo hàm của 1 phần x chi tiết nhất
Kết luận
Với những chia sẻ trên đây, chắc hẳn đã giúp mọi người nắm được những dạng bài tập đạo hàm lớp 11 thường gặp. Hy vọng dựa vào những kiến thức đó sẽ giúp các em phần nào bớt lo lắng và đủ tự tin chinh phục chương đạo hàm dễ dàng hơn nhé. Chúc thành công.












