Công thức đạo hàm nguyên hàm mà những chuyên đề với công thức để giải toán đạo hàm thường gặp trong các bài tập, đề thi toán. Để giúp các em có thể học, ghi nhớ và thực hành hiệu quả, hãy cùng Monkey tìm hiểu rõ hơn ngay trong bài viết sau.
Đạo hàm nguyên hàm là gì?
Trong chương trình toán đại số bậc THPT nói chung, lớp 11 nói riêng các em sẽ được làm quen với chuyên đề đạo hàm và nguyên hàm. Đây được xem là kiến thức quan trọng, vì nó sẽ xuất hiện phổ biến ở các đề thi không chỉ riêng lớp 11 mà lớp 12, tốt nghiệp, đại học và bậc cao hơn vẫn phải học.

Chính vì vậy, việc nắm vững lý thuyết là bước đầu tiên cần phải ghi nhớ. Cụ thể:
Đạo hàm của hàm số được hiểu là việc mô tả sự biến thiên của một hàm số tại một điểm nhất định.
Còn nguyên hàm của hàm số thực cho trước f là hàm F sẽ có đạo hàm bằng f. Lúc này F’ = f. Vậy nên, quá trình đi tìm nguyên hàm được gọi là tích phân bất định. Trên thực tế, việc xác định một biểu thức cho nguyên hàm sẽ khó hơn là tìm đạo hàm.
Bảng công thức đạo hàm nguyên hàm chi tiết
Để có thể tính toán được các bài toán về đạo hàm và nguyên hàm, ngoài việc nắm vững lý thuyết thì đòi hỏi các em học sinh cũng cần ghi nhớ được công thức của từng dạng.
Dưới đây là công thức chi tiết về hai dạng toán này để các em tham khảo:
Công thức đạo hàm
Việc ghi nhớ công thức đạo hàm cơ bản và cấp cao sẽ giúp học sinh có thể giải được đa dạng bài tập một cách chính xác hơn. Cụ thể:
Công thức đạo hàm cơ bản

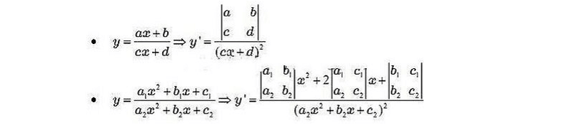
Hai hàm phân thức hữu tỉ có đạo hàm:

Quy tắc đạo hàm của hàm số hợp: Nếu y = y(u(x)) thì y'(x) = y'(u) . u'(x).
Đạo hàm của hàm số sơ cấp

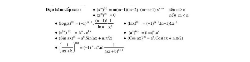
Bảng đạo hàm cấp cao:

Công thức nguyên hàm
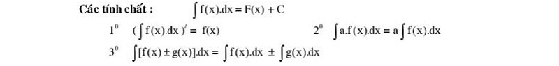
Tính chất của nguyên hàm:

Bảng nguyên hàm cơ bản

Bảng nguyên hàm mở rộng

Các dạng bài tập áp dụng công thức đạo hàm và nguyên hàm thường gặp
Đối với việc giải toán đạo hàm và nguyên hàm, sau khi đã nắm vững lý thuyết về định nghĩa và công thức thì việc nhận biết được các dạng toán của nó cũng rất quan trọng.
Bởi vì chỉ khi bạn nhận biết được bài toán đó thuộc dạng nào, sẽ dễ dàng áp dụng công thức phù hợp để giải toán một cách chính xác. Vậy nên, dưới đây là một số dạng bài tập bạn sẽ dễ gặp phải liên quan tới nguyên hàm và đạo hàm:
Các dạng toán của đạo hàm
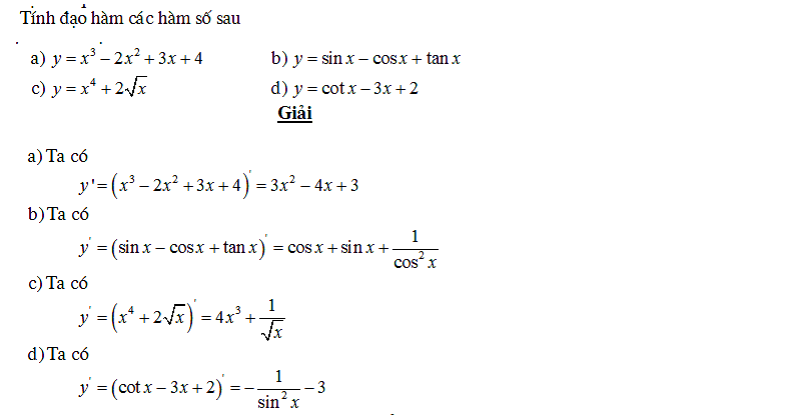
Dạng 1: Tính đạo hàm của một hàm số
Phương pháp giải: Ở dạng toán đạo hàm này, các em sẽ phải vận dụng những quy tắc và phép tính đạo hàm, nhất là công thức tính đạo hàm hợp.
Còn trường hợp, nếu bài toán yêu cầu tính đạo hàm tại 1 điểm thì mọi người sẽ phải tính đạo hàm trước, sau đó sẽ thay vào để được kết quả chính xác
Ví dụ:

Dạng 2: Giải phương trình y’ = 0
Phương pháp giải: Dạng toán này đòi hỏi các em sẽ phải tính y’ trước, tiếp đến mới tiến hành giải phương trình y’ = 0.
Ví dụ:

Dạng 3: Chứng minh đẳng thức về đạo hàm
Phương pháp giải: Dạng bài tập này sẽ yêu cầu học sinh tính đạo hàm, đồng thời sẽ áp dụng công thức các phép biến đổi đặc biệt liên quan tới hàm lượng giác để tính toán.
Ví dụ: Chứng minh rằng:

Các dạng toán của nguyên hàm
Trong bài tập của nguyên hàm sẽ có những dạng toán cơ bản như sau:
Dạng 1: Nguyên hàm từng phần

Dạng 2: Nguyên hàm của hàm số lượng giác
Phương pháp giải: Đòi hỏi các em phải nắm chắc được công thức tính nguyên hàm với những hàm số lượng giác sơ cấp và hàm số lượng giác hợp cơ bản.

Dạng 3: Nguyên hàm của hàm số mũ, logarit
Phương pháp giải: Học sinh cần ghi nhớ cũng như áp dụng chính xác công thức nguyên hàm của hàm số mũ, logarit để có thể giúp việc tính toán chính xác và nhanh chóng hơn.

Dạng 4: Nguyên hàm của hàm số chứa căn thức
Phương pháp giải: Áp dụng công thức tính toán của nguyên hàm chứa hàm số căn thức tương ứng

Một số bài tập áp dụng công thức đạo hàm nguyên hàm tự luyện
Để giúp các em có thể ghi nhớ được những kiến thức trên, dưới đây là một số mẫu bài tập từ cơ bản đến nâng cao của cả đạo hàm và nguyên hàm mà học sinh bắt đầu tự luyện:
Bài tập về đạo hàm

Bài tập về nguyên hàm

Mẹo ghi nhớ công thức đạo hàm và nguyên hàm và áp dụng hiệu quả
Để có thể ghi nhớ được công thức tính đạo hàm, cũng như nguyên hàm thì các em có thể áp dụng một số mẹo cơ bản sau đây:

- Thường xuyên thực hành: Việc làm bài tập, áp dụng công thức thường xuyên sẽ hình thành thói quen sử dụng công thức và áp dụng chúng chính xác hơn.
- Nắm chắc phương pháp giải các dạng toán: Như đã lý giải trên, mỗi dạng toán đều có phương pháp giải riêng nên khi nhận biết được dạng thì chỉ cần áp dụng công thức vào là được.
- Chinh phục nhiều dạng toán, dạng đề: Ngoài việc làm bài tập trên sạch giáo khoa, các em nên tìm kiếm nhiều bài tập trên sách tham khảo, sách luyện thi toán lớp 11, 12, trên internet, làm đề thi năm trước,…
- Áp dụng công thức tính đạo hàm nhanh, nguyên hàm nhanh: Mỗi bài toán đều có công thức tính nhanh, nên trong quá trình học tập, rèn luyện thì các em sẽ tự rút ra được kinh nghiệm tính nhanh cho mình.
Xem thêm: Gợi ý bài tập ứng dụng đạo hàm trong kinh tế và cách học hiệu quả
Kết luận
Trên đây là những thông tin về kiến thức công thức đạo hàm nguyên hàm. Qua đó có thể thấy đây là hai chuyên đề quan trọng trong chương trình toán đại số THPT. Vậy nên, đòi hỏi các em phải nắm rõ để chinh phục các kỳ thi đạt kết quả tốt nhất.










