Trong giải tích toán học, đạo hàm là một hàm số mô tả sự biến thiên tại một điểm. Hay nói một cách khác đạo hàm chính là tỉ số giữ số gia và hàm số tại một điểm x0. Độ lớn của biến thiên và chiều biến thiên thể hiện giá trị của đạo hàm. Dưới đây là tổng hợp công thức đạo hàm và ví dụ chi tiết.
|
XEM VIDEO TỔNG QUAN BÀI VIẾT |
Công thức đạo hàm nhanh cơ bản
Trong quá trình học tập nếu kiến thức không được rèn luyện, mài dũa sẽ rất nhanh quên. Công thức đạo hàm cũng vậy, dưới đây là bảng đầy đủ công thức đạo hàm cơ bản bao gồm:
-
Đạo hàm của f(x) với x là biến số
-
Đạo hàm của f(u) với u là một hàm số
-
Đạo hàm của một số phân thức hữu tỉ

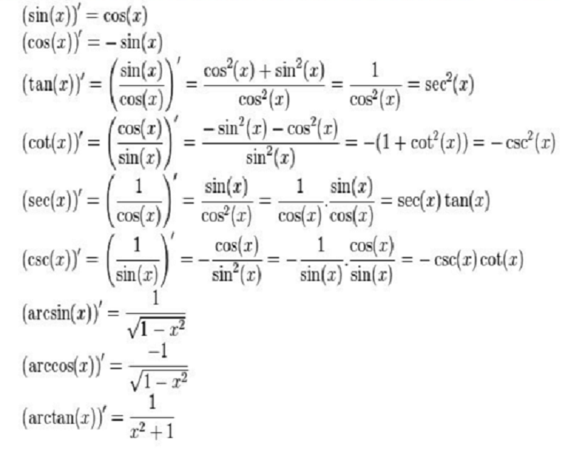
Công thức đạo hàm lượng giác
Đạo hàm của các hàm lượng giác ngược và các hàm lượng giác

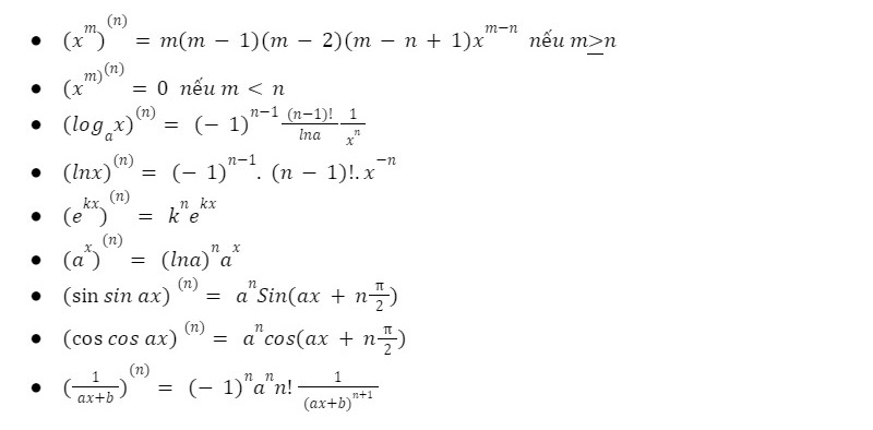
Công thức tính đạo hàm sơ cấp

Công thức tính đạo hàm cấp cao

Đạo hàm và nguyên hàm trong toán học
Ở những thông tin phía trên bạn đọc đã được làm quen với khái niệm đạo hàm. Vậy còn nguyên hàm trong toán học là gì ? Đạo hàm và nguyên hàm có mối liên hệ nào ?
Nguyên hàm của hàm số thực cho trước f là một hàm F. Hàm F có đạo hàm bằng f. Tính phân bất định chính là quá trình tìm nguyên hàm. Việc tìm biểu thức cho nguyên hàm sẽ khó hơn so với tìm đạo hàm.
Trong toán học nguyên hàm được coi là phần con của đạo hàm. Bởi nguyên hàm được định nghĩa từ đạo hàm. Hay nói cách khác phép tính ngược lại của tìm đạo hàm là tìm nguyên hàm. Qua đó có thể thấy đạo hàm và nguyên hàm trong toán học có mối liên hệ mật thiết với nhau.
|
XÂY DỰNG NỀN TẢNG TOÁN HỌC VỮNG CHẮC CHO TRẺ TỪ NHỎ VỚI ĐA PHƯƠNG PHÁP DẠY HỌC TÍCH CỰC, CHI PHÍ CỰC RẺ CHƯA ĐẾN 2K/NGÀY CÙNG MONKEY MATH. |
Các dạng toán áp dụng công thức đạo hàm và nguyên hàm
Dưới đây là tổng hợp các phép tính đạo hàm, bài tập kèm ví dụ để các em nắm bắt và hiểu rõ hơn khi áp dụng các công thức đạo hàm:
Dạng 1: Dùng khái niệm định nghĩa tính đạo hàm
Đây là một trong những dạng toán đạo hàm cơ bản, với cách giải đơn giản nhất trong các bài tập. Để giải bài tập, các em sẽ dựa vào định nghĩa, áp dụng công thức cơ bản để tính toán chính xác. Cụ thể:

Dạng 2: Chứng minh các đẳng thức liên quan cách tính đạo hàm nhanh
Ở dạng bài tập này sẽ thường yêu cầu chứng minh hệ thức nào đó dựa vào điều kiện có sẵn. Đòi hỏi học sinh phải tính toán, chứng minh đẳng thức liên quan đến đạo hàm sao cho chính xác và đưa ra kết quả cuối cùng.

Dạng 3: Biết tiếp điểm, viết phương trình tiếp tuyến
Đây là dạng bài tập áp dụng các công thức đạo hàm khá phổ biến. Cụ thể đề bài thường sẽ đưa ra một phương trình tiếp tuyến của hàm số của một đồ thị đường cong (C): y= f(x), với một tiếp điểm M(x0 ; y0) cho sẵn, có dạng: y = y’(x0)(x-x0) + y0. Nên chỉ thay thế các dữ liệu đã cho sẽ tìm được đáp án chính xác.
Ví dụ: Cho một hàm số y= x3 + 3mx2 + ( m+1)x + 1 (1), m là một tham số thực. Hãy tìm các giá trị của m để tiếp tuyến của đồ thị của hàm số tại điểm có hoành độ x = -1 và đi qua điểm A( 1;2).
TXD: D = R
y’ = f'(x)= 3×2 + 6mx + m + 1
Với x0 = -1 => y0= 2m -1, f'( -1) = -5m + 4
Phương trình tiếp tuyến tại M(-1; 2m – 1) : y= ( -5m + 4 ) ( x+1) + 2m -1 (d)
Ta có A ( 1;2) ∈ (d) <=> ( -5m + 4).2 + 2m – 1 = 2 => m = 5/8
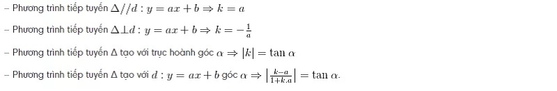
Dạng 4: Viết phương trình tiếp khi biết hệ số góc
Hãy viết phương trình tiếp tuyến Δ của (C ) : y = f( x ), biết Δ có hệ số góc là k cho trước
Gọi M(x0 ; y0) là tiếp điểm. Tính y’ => y'(x0)
Phương trình tiếp tuyến Δ có hệ số góc k => y’ = (x0 ) = k (i)
x0 => y0 = f(x0) => Δ : y = k (x – x0 )+ y0
Lưu ý: Hệ số góc k = y'(x0 ) của tiếp tuyến Δ thường cho kiểu gián tiếp như sau:

Ví dụ: Cho hàm số y=x3 +3 × 2 - 9x + 5 ( C). Tìm tiếp tuyến có hệ số góc nhỏ nhất trong tất cả các tiếp tuyến của đồ thị (C ).
Ta có y’ = f'( x ) = 3×2 + 6x – 9
Gọi x0 là hoành độ tiếp điểm của tiếp tuyến, vậy f'( x0) = 3 x02 + 6 x0 – 9
Ta có 3 x02 + 6×0– 9 =3 ( x02+ 2×0 +1) – 12 = 3 (x0+1)2– 12 > – 12
Vậy min f( x0)= – 12 tại x0= -1 => y0=16
Suy ra phương trình tiếp tuyến cần tìm: y= -12( x+1)+16 <=> y= -12x + 4
Dạng 5: Bất phương trình và phương trình có đạo hàm
Dạng toán này sẽ phải kết hợp nhiều công thức đạo hàm và nguyên hàm để có thể giải bất phương trình hay phương trình để tìm được kết quả chính xác.

Dạng 6: Dùng công thức đạo hàm nguyên hàm
Ở dạng bài tập này đòi hỏi các em phải nắm vững các công thức đạo hàm lớp 11 đã chia sẻ trên. Nếu trường hợp có những hàm số phức tạp xuất hiện, các em có thể rút gọn hàm số rồi mới tiến hành đạo hàm chúng, nhất là những hàm lượng giác.

Dạng 7: Tính đạo hàm cấp cao
Đối với các bài tập đạo hàm cấp cao thường thiên về tính đạo hàm cấp 2 trở lên, nên mọi người có thể áp dụng các công thức đạo hàm cấp cao trên hoặc y(n) = (y(n-1))’.
Ngoài ra, để tính đạo hàm cấp n, các em sẽ phải tính đạo hàm từ cấp 1, 2, 3… rồi từ đó suy luận ra công thức tính đạo hàm cấp n.
Monkey Math - Ứng dụng học toán tiếng Anh chỉ với 2K/Ngày
Đạo hàm và ứng dụng của đạo hàm trong thực tiễn có gì thú vị?
Ôn tập đạo hàm 11 từ cơ bản đến nâng cao với đầy đủ kiến thức
Một số bài tập tính đạo hàm tự luyện
Dưới đây là một số bài tập để các em có thể áp dụng những công thức đạo hàm nguyên hàm trên cùng luyện tập:

Xem thêm: Đạo hàm logarit là gì? Kiến thức về đạo hàm đầy đủ và chính xác nhất
Đạo hàm và ứng dụng của đạo hàm
Đạo hàm có nhiều ứng dụng không chỉ trong toán học mà còn nhiều lĩnh vực khác. Dưới đây là một số ứng dụng của đạo hàm:
Trong Toán Học đạo hàm có ứng dụng là tiếp tuyến của đường con phẳng và là phương trình tiếp tuyến.

Trong Vật Lý đạo hàm giúp chúng ta tính toán được:
-
Vận tốc tức thời.
-
Cường độ tức thời của dòng điện.
-
Gia tốc tức thời
Trong cuộc sống đạo hàm được ứng dụng trên đồng hồ của xe máy hoặc ứng dụng khi tính toán thời gian vận động viên thi chạy, bơi tiếp sức… Qua những thông tin trên có thể thấy đạo hàm có khá nhiều ứng dụng ở các lĩnh vực khác nhau.

Phương pháp và cách giải đạo hàm nhanh nhất
Để nắm được các kiến thức về đạo hàm từ đó ứng dụng vào giải các bài tập thực tế. Trước tiên bạn cần nắm vững lý thuyết về đạo hàm từ định nghĩa, tính chất, ý nghĩa, công thức (đạo hàm phép nhân, chia, công thức đạo hàm trị tuyệt đối ….). Sau đó cần vận dụng những kiến thức đã học để ứng dụng vào giải bài tập.
Làm nhiều và đa dạng các loại bài tập từ cơ bản đến nâng cao sẽ giúp bạn nắm vững kiến thức hơn. Lý thuyết luôn đi đôi với thực hành vì vậy hãy cố gắng vận dụng cả 2 yếu tố để học tốt hơn nhé.
Bên cạnh đó, hiện nay việc học các kiến thức từ trường lớp thôi là chưa đủ. Bạn có thể tìm tòi thêm nhiều kiến thức trên mạng. Một số trang web tính đạo hàm online miễn phí sẽ giúp bạn kiểm tra chính xác đáp án nhanh nhất. Bạn có thể tính đạo hàm mathway ngay tại trang web của mathway, hay tại chuyên mục "kiến thức cơ bản" của Monkey cũng có nhiều chuyên mục về đạo hàm để các em tham khảo thêm.
Mẹo giải nhanh bài tập toán đạo hàm
Công thức đạo hàm sẽ trở nên dễ nhớ hơn nếu bạn học đúng cách và theo quy luật. Dưới đây là những mẹo đơn giản giúp bạn ghi nhớ nhanh và áp dụng hiệu quả trong quá trình học:
-
Ghi nhớ trước các đạo hàm cơ bản như x, xⁿ, eˣ, ln x vì đây là nền tảng của hầu hết các công thức khác.
-
Học công thức theo nhóm hàm (lũy thừa, mũ – logarit, lượng giác) để tránh nhầm lẫn.
-
Nắm chắc các quy tắc đạo hàm như tổng – hiệu, tích, thương và dây chuyền thay vì học thuộc từng công thức riêng lẻ.
-
So sánh các cặp công thức dễ nhầm để nhớ đúng dấu và dạng, đặc biệt là các hàm lượng giác.
-
Mỗi công thức nên gắn với một ví dụ ngắn để hiểu bản chất, tránh học thuộc máy móc.
-
Tự tay viết lại bảng công thức nhiều lần giúp ghi nhớ lâu hơn so với chỉ đọc.
-
Luyện tập bài tập thường xuyên để công thức trở thành phản xạ tự nhiên khi làm bài.
FAQ - Một số câu hỏi thường gặp
1. Công thức đạo hàm là gì?
Công thức đạo hàm là các quy tắc dùng để tính đạo hàm của một hàm số, giúp xác định tốc độ thay đổi của hàm số tại một điểm.
2. Có cần học thuộc hết tất cả công thức đạo hàm không?
Không nhất thiết phải học thuộc tất cả. Bạn nên nhớ các công thức cơ bản và nắm vững các quy tắc đạo hàm để có thể suy ra những công thức còn lại.
3. Những công thức đạo hàm nào cần nhớ đầu tiên?
Nên ưu tiên ghi nhớ các công thức đạo hàm cơ bản như:
-
(x)' = 1
-
(xⁿ)' = n·xⁿ⁻¹
-
(eˣ)' = eˣ
-
(ln x)' = 1/x
-
(sin x)' = cos x
-
(cos x)' = −sin x
4. Vì sao học sinh hay nhầm công thức đạo hàm lượng giác?
Do các công thức có dạng gần giống nhau và dễ nhầm dấu “+” và “−”. Việc so sánh cặp công thức và luyện tập thường xuyên sẽ giúp hạn chế lỗi này.
5. Khi nào cần dùng quy tắc dây chuyền?
Quy tắc dây chuyền được dùng khi hàm số có dạng hàm hợp, tức là một hàm nằm bên trong hàm khác, ví dụ: f(g(x)).
6. Làm thế nào để ghi nhớ công thức đạo hàm lâu hơn?
Bạn nên kết hợp học lý thuyết với làm bài tập, viết lại công thức nhiều lần và thường xuyên áp dụng vào các dạng bài khác nhau.
7. Có mẹo nào tránh sai sót khi làm bài đạo hàm không?
Hãy xác định rõ dạng hàm trước khi đạo hàm, áp dụng đúng quy tắc và kiểm tra lại dấu, số mũ sau khi tính xong.
8. Học công thức đạo hàm có cần làm nhiều bài tập không?
Có. Việc luyện tập thường xuyên giúp bạn hiểu bản chất công thức và sử dụng chính xác hơn trong các bài toán thực tế.
Trên đây là những kiến thức bổ ích về công thức đạo hàm hay gặp nhất. Hy vọng thông qua bài viết bạn đã nắm được các công thức đạo hàm và ứng dụng của nó trong thực tế. Từ đó vận dụng để giải quyết bài tập và đạt kết quả học thật tốt.










![Các từ khó trong tiếng Việt lớp 3 dễ hiểu nhầm nghĩa [Cần chú ý!]](https://vnmedia2.monkeyuni.net/upload/web/storage_web/20-03-2026_15:47:44_cac-tu-kho-trong-tieng-viet-lop-3.png)
