Có thể bạn chưa biết, để có thể giữ cho mặt trăng chuyển động quanh mặt trời là nhờ có lực hấp dẫn giữa trái đất và mặt trăng. Vậy lực hấp dẫn là gì? Đặc điểm, định luật của lực hấp dẫn như thế nào? Nội dung trong bài viết sau đây Monkey sẽ giải đáp chi tiết nhất.
|
VIDEO TÓM TẮT NHANH NỘI DUNG BÀI VIẾT |
Định nghĩa lực hấp dẫn là gì?
Theo khái niệm lực hấp dẫn ở trang Wiki được định nghĩa lực hấp dẫn là lực tác dụng từ xa, thông qua khoảng không gian giữa hai hoặc nhiều vật. Trong vật lý học, lực hấp dẫn là lực hút giữa các vật chất. Lực hấp dẫn có độ lớn tỷ lệ với khối lượng của chúng.
Lực hấp dẫn của trái đất là gì? Qua nghiên cứu, khái niệm lực hấp dẫn của trái đất là khi tác động lên mọi vật thể có khối lượng. Do đó, mặc dù trái đất đang quay, chúng ta vẫn có thể đứng dễ dàng trên bề mặt trái đất mà không hề bị bất kỳ ảnh hưởng nào khác.
Bên cạnh đó, lực hấp dẫn cũng được định nghĩa là lực giữa các hành tinh ở trên quỹ đạo của chúng ta quay quanh Mặt Trời, Trái Đất và Mặt Trăng trên quỹ đạo xoay quanh Trái Đất. Vai trò của lực hấp dẫn là giúp chúng ta lý giải được sự hình thành của thủy triều và nhiều hiện tượng trong thiên nhiên.

Lưu ý: khi không có lực hấp dẫn, sẽ dẫn đến hiện tượng không trọng lực - hiện tượng mà khi đó con người và mọi vật sẽ trôi vô định, nổi lềnh bềnh trong không gian. Không trọng lượng thường xảy ra khi các nhà du hành di chuyển ra khỏi Trái Đất tới các vũ trụ khác.
Ví dụ về lực hấp dẫn trong đời sống
Trong đời sống hằng ngày, chúng ta có thể dễ dàng nhận thấy lực hấp dẫn qua nhiều hiện tượng xung quanh như:
- Khi bạn thả một quả táo, quả táo rơi xuống đất vì lực hấp dẫn kéo nó về phía Trái Đất.
- Lực hấp dẫn giữ cơ thể chúng ta đứng vững trên mặt đất, nếu không có lực này, chúng ta sẽ bị trôi lơ lửng.
- Dòng suối, thác nước chảy từ núi xuống đồng bằng là nhờ lực hấp dẫn kéo nước xuống.
- Khi bạn nâng một thùng nước hoặc một vật nặng, bạn phải dùng lực để thắng lực hấp dẫn.
- Lực hấp dẫn giữa Trái Đất và Mặt Trăng giữ Mặt Trăng quay quanh Trái Đất.
- Khi bạn thả bóng bay xuống, nó rơi xuống mặt đất vì trọng lực kéo nó xuống.

Ai là người phát hiện ra lực hấp dẫn?
Tại vườn nhà ở trang viên Woolsthorpe tại Lincolnshire, vào năm 1666 Isaac Newton đã khám phá ra được lực hấp dẫn khi ông ngồi dưới gốc cây táo và bị quả táo rơi trúng đầu. Chắc hẳn có rất nhiều bạn đã nghe đến câu chuyện này, thậm chí nó còn là một phần nội dung của sách giáo khoa Vật lý.
Kết quả của việc tìm ra lực hấp dẫn không chỉ xuất phát từ khoảnh khắc quả táo rơi xuống, mà nó còn phụ thuộc vào quá trình nghiên cứu và suy nghĩ miệt mài của ông. Ông đặt ra câu hỏi tại sao khi táo rụng khỏi cành cây, chúng sẽ rơi thẳng xuống mặt đất thay vì bay ngược lên hoặc rơi ngang. Và cũng chính Newton đã giải đáp điều này bằng câu trả lời rằng, Trái Đất hút quả táo bằng một lực chưa được gọi tên.

Đặc điểm của lực hấp dẫn
Lực hấp dẫn có các đặc điểm sau đây:
-
Là lực hút
-
Trọng tâm của vật (chất điểm) là điểm đặt của lực hấp dẫn
-
Đường thẳng đi qua tâm của 2 vật bất kỳ là giá của lực hấp dẫn
Ý nghĩa của lực hấp dẫn
Trong tự nhiên, có những lực vô hình nhưng luôn tác động đến mọi vật xung quanh chúng ta. Lực hấp dẫn là một trong những lực quan trọng nhất và có ý nghĩa đặc biệt:
- Lực cơ bản của tự nhiên: Lực hấp dẫn là một trong bốn lực cơ bản trong vũ trụ, chi phối chuyển động của mọi vật có khối lượng.
- Định hướng chuyển động: Nó xác định hướng rơi và quỹ đạo của các vật thể trong vũ trụ, giữ mọi thứ ổn định theo trật tự tự nhiên.
- Tạo ra trọng lực và cảm giác “nặng”: Lực hấp dẫn tạo nên trọng lực, giúp vật thể có khối lượng cảm nhận được sức nặng.
- Ảnh hưởng đến cấu trúc vũ trụ: Nó giữ các hành tinh, sao, thiên hà kết nối với nhau, duy trì sự tồn tại và trật tự của vũ trụ.
Định luật vạn vật hấp dẫn là gì?
Trong chương trình học vật lí lớp 10, các em sẽ được học và làm quen với lực hấp dẫn. Đi kèm với đó chính là định luật vạn vật hấp dẫn cần phải nắm vững. Cụ thể:
Nội dung định luật vạn vật hấp dẫn
Phát biểu của Newton về định luật vạn vật hấp dẫn cho rằng trong vũ trụ, mỗi hạt đều hút mỗi hạt khác với tỷ lệ thuận với tích khối lượng của chúng. Mặt khác, chúng sẽ tỷ lệ nghịch với bình phương khoảng cách giữa tâm. Việc khám phá ra lý thuyết này được đánh giá là sự thống nhất vĩ đại đầu tiên. Nguyên nhân vì nó là dấu mốc cho sự hợp nhất của các hiện tượng hấp dẫn đã được mô tả trước đây trên Trái Đất với các hiện tượng thiên văn đã biết.
Định luật vạn vật hấp dẫn của Newton đã khẳng định rằng mọi vật trong vũ trụ đều chịu lực hút của Trái Đất và đều hút nhau với một lực có tên gọi là luật hấp dẫn. Theo đó, lực hấp dẫn giữa hai chất điểm hoặc hai vật bất kỳ tỷ lệ nghịch với bình phương khoảng cách giữa chúng và tỷ lệ thuận với tích hai khối lượng của chúng
Lưu ý: Định luật vạn vật hấp dẫn chỉ đúng trong trường hợp khoảng cách giữa 2 vật là rất lớn so với kích thước của chúng.
Phương trình định luật vạn vật hấp dẫn
Hệ thức:
Trong đó:
-
Fhd: lực hấp dẫn
-
m1, m2 lần lượt là khối lượng của hai chất điểm
-
R là khoảng cách giữa chúng
-
gọi là hằng số hấp dẫn
Trọng lực là trường hợp riêng của lực hấp dẫn
Trọng lực là gì?
Trọng lực của một vật được định nghĩa là lực hấp dẫn giữa vật đó và Trái Đất. Trọng lực có điểm đặt tại trọng tâm của vật khi một vật có khối lượng m được thả rơi ở độ cao h so với mặt đất. Khi đó, có một trọng lượng P tác dụng lên vật.
Công thức tính trọng lực
Công thức xác định độ lớn của trọng lực:
Trong đó:
-
m là khối lượng của vật (kg)
-
M và R lần lượt là khối lượng và bán kính của Trái Đất
-
h là độ cao tính từ vật đến mặt đất (m)
Ta có P = m.g nên gia tốc rơi tự do có gia tốc rơi tự do được xác định như sau:
Lưu ý: Nếu vật được đặt ở gần mặt đất (h << R) thì g = (G.M)/R^2
Monkey Math - Ứng dụng học toán tiếng Anh chỉ với 2K/Ngày
Lực kế, phép đo lực, trọng lượng, khối lượng - Kiến thức vật lý 6
Giải thích chi tiết ngẫu lực là gì và bài tập thực hành ngẫu lực (Vật Lý 10)
|
GIÚP CON HỌC TOÁN KẾT HỢP VỚI TIẾNG ANH SIÊU TIẾT KIỆM CHỈ TRÊN MỘT APP MONKEY MATH. VỚI NỘI DUNG DẠY HỌC ĐA PHƯƠNG PHÁP GIÚP BÉ PHÁT TRIỂN TƯ DUY NÃO BỘ VÀ NGÔN NGỮ TOÀN DIỆN CHỈ VỚI KHOẢNG 2K/NGÀY. ![]() |
Một số bài tập về lực hấp dẫn và định luật vạn vật hấp dẫn (Lý 10)
Dưới đây là một số bài tập giúp các em củng cố kiến thức về lực hấp dẫn và định luật vạn vật hấp dẫn.
Câu 1: Một viên đá đang nằm yên trên mặt đất, lực hấp dẫn do Trái Đất tác dụng vào hòn đá có giá trị
A. Lớn hơn trọng lượng của hòn đá.
B. Nhỏ hơn trọng lượng của hòn đá.
C. Bằng trọng lượng của hòn đá
D. Bằng 0.
Đáp án: Chọn C.
Giải thích: Một viên đá đang nằm yên trên mặt đất, lực hấp dẫn do Trái Đất tác dụng vào hòn đá có giá trị bằng trọng lượng của hòn đá.
Câu 2: Hai quả cầu đồng chất có khối lượng 20 kg, khoảng cách giữa hai tâm của chúng là 50 cm, bán kính 10 cm. Biết rằng hệ số hấp dẫn là G = 6,67.10^-11 Nm2 /kg^2 . Tính độ lớn của lực tương tác hấp dẫn giữa chúng:
A. 1,0672.10^-8 N.
B. 1,0672.10^-6 N.
C. 1,0672.10^-7 N.
D. 1,0672.10^-5 N.
Đáp án: Chọn C
Giải thích: Áp dụng công thức định luật vạn vật hấp dẫn
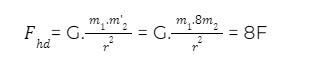
Câu 3: Hai khối cầu giống nhau được đặt sao cho tâm cách nhau khoảng r thì lực hấp dẫn giữa chúng là F. Nếu thay một trong hai khối cầu trên bằng một khối cầu đồng chất khác nhưng có bán kính lớn gấp hai, vẫn giữ nguyên khoảng cách giữa hai tâm (hai khối cầu không chạm nhau) thì lực hấp dẫn giữa chùng lúc này bằng bao nhiêu?
A. 2F.
B. 16F.
C. 8F.
D. 4F.
Đáp án: Chọn C.
Giữ nguyên khoảng cách giữa hai tâm (hai khối cầu không chạm nhau) thì lực hấp dẫn giữa chúng lúc này là:
Câu 4: Ở mặt đất, một vật có trọng lượng 10N. Nếu chuyển vật này ở độ cao cách Trái Đất một khoảng R (R là bán kính Trái Đất) thì trọng lượng của vât bằng
A. 1 N.
B. 2,5 N.
C. 5 N.
D. 10 N.
Đáp án: Chọn B
Giải thích:
Câu 5: Hai tàu thủy, mỗi chiếc có khối lượng 50 000 tấn ở cách nhau 1km. Lấy g=10 m/s^2. So sánh lực hấp dẫn giữa chúng với trọng lượng của một quả cân có khối lượng 20 g.
A. Lớn hơn
B. Bằng nhau
C. Nhỏ hơn
D. Chưa thể biết
Đáp án: Chọn C.
Giải thích: Lực hấp dẫn giữa 2 chiếc tàu thủy là
Trọng lượng của quả cân bằng: P = mg = 0,02.10 = 0,2 (N)
Vậy P>F
Câu 8: Bán kính Trái Đất là 6400km, gia tốc trọng trường ở mặt đất là 9,80 m/s^2. Tính gia tốc trọng trường ở độ cao 5km và ở độ cao bằng nửa bán kính Trái Đất.
Đáp án:
Phân tích bài toán:
|
GIẢI PHÁP GIÚP CON PHÁT TRIỂN TOÀN DIỆN TƯ DUY VÀ NGÔN NGỮ VỚI BỘ SẢN PHẨM TOÁN + TIẾNG VIỆT + TIẾNG ANH VỚI ƯU ĐÃI LÊN TỚI 50% NGAY HÔM NAY. |
FAQ - Một số câu hỏi thường gặp
Lực hấp dẫn là gì?
Lực hấp dẫn là lực hút giữa hai vật có khối lượng. Nó giữ các vật trên Trái Đất không bị rơi ra ngoài không gian và giữ các hành tinh quay quanh Mặt Trời.
Lực hấp dẫn có tác dụng ở đâu?
- Giữa Trái Đất và mọi vật trên mặt đất.
- Giữa các hành tinh, Mặt Trăng và Mặt Trời.
- Giữa bất kỳ hai vật thể nào có khối lượng.
Trọng lực và lực hấp dẫn có giống nhau không?
- Trọng lực là lực hấp dẫn mà Trái Đất tác dụng lên vật.
- Lực hấp dẫn là khái niệm tổng quát hơn, áp dụng cho bất kỳ hai vật có khối lượng.
Lực hấp dẫn có thay đổi theo nơi chốn không?
Có. Trọng lực F = m.g thay đổi nhẹ theo độ cao và vị trí trên Trái Đất vì gia tốc trọng trường không hoàn toàn đồng đều.
Tại sao lực hấp dẫn rất yếu so với các lực khác?
Vì hằng số hấp dẫn G rất nhỏ (6,67 x 10−11). Chỉ khi khối lượng lớn (như Trái Đất) thì lực mới trở nên đáng kể.
Kết luận
Bài viết trên đã tổng hợp các kiến thức cần thiết liên quan đến lực hấp dẫn và định luật vạn vật hấp dẫn. Hy vọng với những thông tin mà Monkey cung cấp, các em có thể tự học và tự tìm hiểu một cách hiệu quả.











