Nguyên hàm Inx là gì? Công thức và cách giải bài tập về nguyên hàm của In x như thế nào? Hãy cùng Monkey tìm hiểu chi tiết trong bài viết ngay sau đây nhé.
Nguyên hàm Inx là gì?
Trong kiến thức toán học cơ bản ở chương trình THPT, toán nguyên hàm là một dạng toán thường gặp nhất. Trong dạng toán này được chia thành nhiều loại nguyên hàm khác nhau, với những dạng bài tập đi kèm đòi hỏi học sinh phải nắm rõ mới có thể giải được.
Trong đó, toán nguyên hàm Inx là một dạng toán sẽ gặp nhiều trong các bài tập, đề thi học kỳ, đề thi THPTQG. Chính vì vậy, nếu muốn đạt điểm cao đòi hỏi học sinh phải ghi nhớ rõ lý thuyết và công thức tính của chúng.
Cụ thể: Cho hàm số f(x) xác định trên K. Hàm số F(x) được gọi là nguyên hàm của hàm số f(x) trên K nếu F'(x) = f(x) với mọi x ∈ K. Nguyên hàm của lnx được tính như sau:

Công thức nguyên hàm Inx chi tiết nhất
Dưới đây là bảng công thức nguyên hàm của ln x kèm theo một số công thức tính nguyên hàm cơ bản mà học sinh có thể áp dụng giải bài tập một cách chính xác.

Các dạng bài tập về nguyên hàm Inx thường gặp và cách giải
Đối với bài tập về nguyên hàm của Inx sẽ có nhiều dạng khác nhau, mỗi dạng sẽ có những cách giải riêng dựa vào công thức trên để tìm đáp án. Cụ thể:
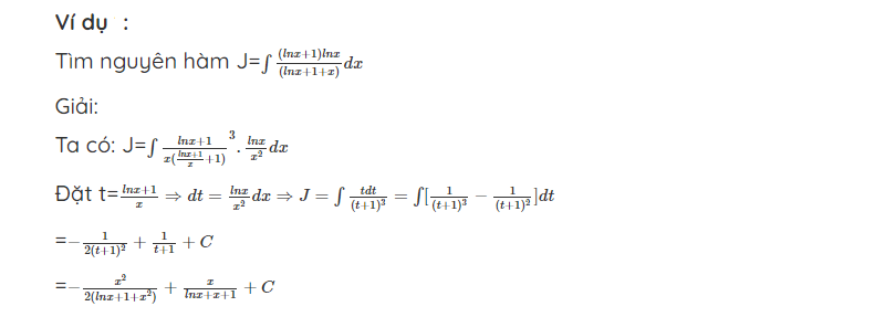
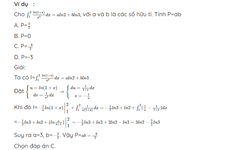
Dạng 1: Nguyên hàm In(x+1)

Dạng 2: Nguyên hàm 1+In/x

Dạng 3: Nguyên hàm của In(ax+b)

Dạng 4: Nguyên hàm của In(x2 +1)dx

Dạng 5: Nguyên hàm của hàm số f(x)=In/x

Dạng 6: Tính nguyên hàm của In(Inx)/x

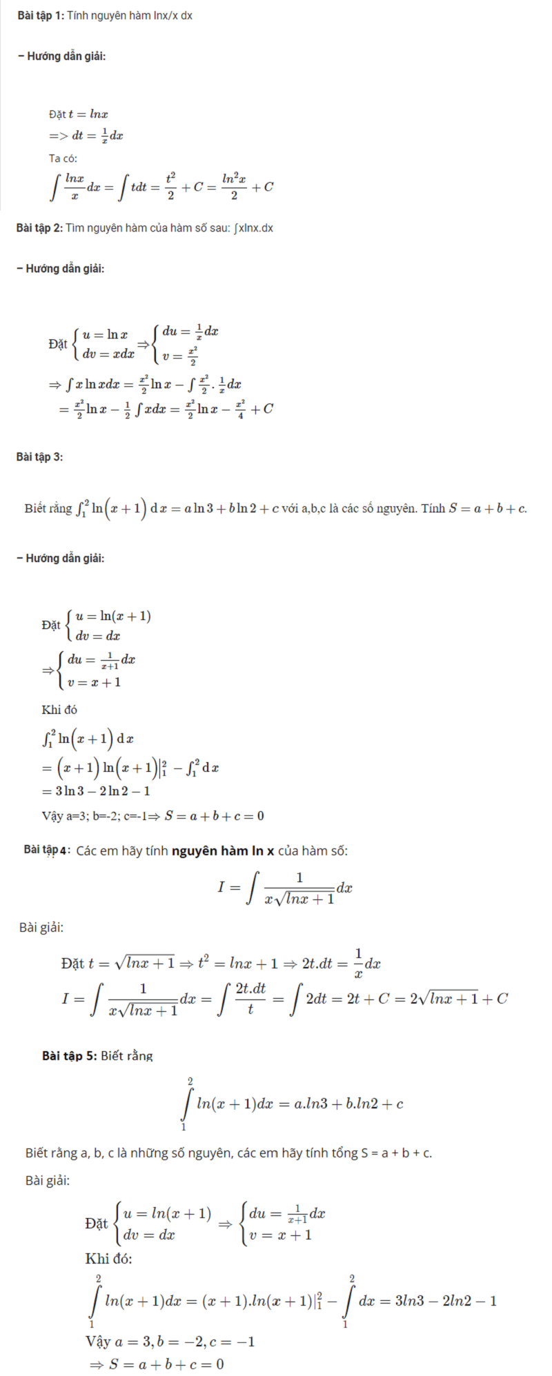
Các bài tập nguyên hàm của In x tự luyện
Khi làm quen với dạng toán nguyên hàm của Inx không chỉ đơn thuần là nắm chắc lý thuyết, công thức theo dạng ghi nhớ và học thuộc lòng. Thay vào đó, học sinh cần phải biết áp dụng nhiều hơn trong việc giải bài tập để biết được cách áp dụng công thức sao cho phù hợp cho từng dạng toán chính xác nhất.
Vậy nên, dưới đây là một số bài tập về toán nguyên hàm Inx để các em có thể tham khảo, áp dụng và luyện tập.

Lưu ý: Các bài tập trên chỉ mang tính chất tham khảo, học sinh nên tự mình giải bài tập trước khi xem hướng dẫn giải để biết được năng lực mình đến đâu, sai ở đâu để khắc phục được. Tránh trường hợp xem lời giải để làm bài tập sẽ dễ khiến năng lực học tập của bạn thụt lùi hơn.
Tìm hiểu thêm: Nguyên hàm hữu tỉ là gì? Công thức và các dạng bài tập nguyên hàm hữu tỉ chi tiết
Kết luận
Trên đây là những kiến thức tổng hợp về toán nguyên hàm Inx. Qua đó có thể thấy đây là một dạng toán cơ bản, có điểm dễ và điểm khó riêng. Tuy nhiên, để làm được dạng toán này học sinh cần phải nắm rõ tính chất lý thuyết và công thức để có thể giải bài tập nhanh chóng và chính xác nhất.
Hy vọng với những chia sẻ của Monkey sẽ giúp các em có thêm kiến thức và động lực chinh phục môn toán này dễ dàng hơn nhé.









![Các từ khó trong tiếng Việt lớp 3 dễ hiểu nhầm nghĩa [Cần chú ý!]](https://vnmedia2.monkeyuni.net/upload/web/storage_web/20-03-2026_15:47:44_cac-tu-kho-trong-tieng-viet-lop-3.png)
