Khi nghiên cứu, tìm hiểu về nam châm, thật thiếu sót nếu chúng ta không nhắc tới các khái niệm từ trường, cảm ứng từ hay từ trường đều. Vậy để hiểu rõ hơn từ trường là gì? Từ trường không tồn tại ở đâu? Các tính chất cơ bản của từ trường là gì, Monkey xin mời bạn đọc cùng tìm hiểu những vấn đề này qua bài viết dưới đây
Từ trường là gì?
Từ trường là gì? Từ trường là môi trường vật chất bao quanh các hạt mang điện, có sự chuyển động như nam châm vĩnh cữu, dòng điện,... Từ trường gây ra lực từ tác động lên các vật có từ tính đặt trong nó.
Vậy, từ trường ký hiệu là gì? Từ trường là một định nghĩa, không có ký hiệu riêng biệt. Tuy nhiên, trong các bài toán về từ trường ta thường sử dụng các ký hiệu như:
- B (cảm ứng từ): Đặc trưng cho từ trường trên phương diện tác dụng của lực từ.
- H (cường độ từ trường): Đặc trưng cho từ trường trên phương diện tác dụng của điện trường.
Bản chất của từ trường do là do xung quanh các điện tích chuyển động có từ trường gây ra. Vậy nên xung quanh hạt mang điện đứng yên chỉ có điện trường, hạt mang điện chuyển động có cả điện trường và từ trường. (Xem thêm hình ảnh từ trường bên dưới.)

Cách nhận biết từ trường
Thí nghiệm tác dụng từ của dòng điện
Chuẩn bị:
- Một cuộn dây dẫn điện
- Một la bàn hoặc có thể là cục nam châm để kiểm tra tính chất từ của dòng
- Một nguồn điện một chiều có nguồn điện áp là 5V
- Biến trở
Cách tiến hành:
Mắc cuộn dây qua một cái biến trở và sau đó lắp vào nguồn điện một chiều như hình minh họa.

Kết quả:
- Khi mở công tắc nguồn có dòng điện đi qua chúng ta thấy kim của la bàn lệch đi.
- Kết quả này cho thấy cuộn dây sinh ra từ trường và la bàn định hướng theo từ trường của cuộn dây.
Vậy, khi nào có từ trường? Từ trường có thể tồn tại ở bất cứ nơi nào có các điện tích chuyển động, hoặc do sự biến thiên của điện trường, hoặc có nguồn gốc từ các mômen lưỡng cực từ như nam châm. Suy ra, để trả lời cho câu hỏi "Cái gì tạo ra từ trường?" thì ta có thể hiểu như sau: Từ trường đến từ sự chuyển động trong lõi Trái đất; Từ trường của các vật thể khác (Mặt trời, các hành tinh khác,...); Từ trường do con người tạo ra (các máy phát điện, động cơ điện,...);....
Cách nhận biết từ trường
Thế nào là từ trường? Chúng ta không thể thấy từ trường bằng mắt thường. Do vậy, để có thể nhận biết được từ trường trong không gian thường sẽ sử dụng kim nam châm (nam châm thử).
Đặc điểm của từ trường
Từ trường có những đặc điểm sau:
- Đại lượng vector: Từ trường là một đại lượng vector, có nghĩa là nó có cả độ lớn và hướng. Độ lớn của từ trường được gọi là cảm ứng từ, được ký hiệu là B.
- Hướng của từ trường tại một điểm là hướng Nam - Bắc của kim nam châm nhỏ nằm cân bằng tại điểm đó.
- Tác dụng lực từ: Từ trường tác dụng lực từ lên các vật có từ tính. Lực từ có chiều song song với đường sức từ và có hướng từ cực bắc sang cực nam của nam châm.
- Tạo ra bởi các điện tích chuyển động: Từ trường có thể được tạo ra bởi các điện tích chuyển động. Ví dụ, từ trường của Trái đất được tạo ra bởi sự chuyển động của sắt lỏng trong lõi ngoài của Trái đất.
- Tương tác với điện trường: Từ trường tương tác với điện trường. Sự tương tác này được mô tả bởi phương trình Maxwell thứ hai.
Công thức tính từ trường
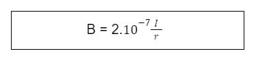
Từ trường của dòng điện chạy trong dây dẫn thẳng dài có công thức là:
Trong đó:
- B: cảm ứng từ (T)
- I: cường độ dòng điện (A)
- r: khoảng cách từ dòng điện đến vị trí ta cần xét (m)
Từ trường của dòng điện chạy trong dây dẫn uốn thành vòng tròn
Nếu khung dây tròn tạo bởi N vòng dây sít nhau thì sẽ có công thức:
Trong đó:
- B: cảm ứng từ (T)
- I là cường độ dòng điện (A)
- R là bán kính vòng dây mang dòng điện(m)
- N là số vòng dây
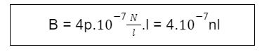
Từ trường của dòng điện chạy trong ống dây dẫn hình trụ sẽ có độ lớn bằng:
Trong đó:
- B: cảm ứng từ (T)
- I là cường độ dòng điện (A)
- N là tổng số vòng dây
- l là chiều dài ống dây (m);
- n = Nl : số vòng dây quấn trên một đơn vị dài của ống dây
Một số khái niệm khác liên quan đến từ trường
Ngoài tìm hiểu từ trường nghĩa là gì? Các em cũng cần tìm hiểu một số khái niệm khác liên quan như: đường sức từ, cảm ứng từ và từ trường đều
1. Đường sức từ là gì?
Định nghĩa
Đường sức từ là những đường cong kín hoặc thẳng dài vô tận không cắt nhau ở trong không gian có từ trường. Chúng đáp ứng điều kiện tiếp tuyến tại mỗi điểm sẽ có hướng trùng với hướng của từ trường nằm tại điểm đó.
Có thể quan sát hình dạng của những đường sức từ bằng thí nghiệm từ phổ.
Các ví dụ về đường sức từ
Nam châm thẳng
Đường sức từ bên ngoài nam châm thẳng sẽ là những đường cong có hình dạng đối xứng nhau qua trục của nam châm, có chiều đi ra từ cực bắc và đi vào cực nam.

Nam châm chữ U
Đường sức từ bên ngoài nam châm chữ U là những đường cong có hình dạng đối xứng qua trục của thanh nam châm, có chiều đi ra từ cực Bắc và đi vào cực là Nam.
Đường sức từ của từ trường trong khoảng không gian giữa hai cực của nam châm hình chữ U là những đường thẳng song song cách đều nhau. Từ trường trong khu vực đó là từ trường đều.

Tính chất của đường sức từ
- Đường sức từ là những đường cong hoặc thẳng ở trong không gian có từ trường, sao cho tại mỗi điểm có hướng trùng với hướng của từ trường tại điểm đó và qua mỗi điểm chỉ có thể vẽ được một đường sức từ.
- Đường sức từ của từ trường tạo bởi dòng điện chạy trong dây dẫn có dạng là các đường tròn đồng tâm.

2. Cảm ứng từ là gì?
Hiện tượng cảm ứng điện từ là hiện tượng hình thành một suất điện động (hay còn gọi là điện áp) trên một vật dẫn khi vật dẫn đó được đặt trong một từ trường biến thiên.
Vào năm 1831, nhà Vật lí người Anh Michael Faraday đã chứng tỏ rằng từ trường có thể sinh ra dòng điện qua thí nghiệm cho từ thông qua một mạch kín thay đổi. Dòng điện đó được gọi là dòng điện cảm ứng và hiện tượng này được gọi là hiện tượng cảm ứng điện từ
3. Từ trường đều là gì?
Từ trường đều là từ trường có đường sức từ thẳng song song và cách đều nhau. Do đó, độ lớn của cảm ứng từ trong từ trường đều là bằng nhau ở mọi điểm.
Từ trường Trái Đất
Có thể hiểu từ trường Trái Đất là trường từ của Trái Đất, xuất hiện do tính chất từ của vật chất Trái Đất tạo ra. Từ trường Trái Đất tồn tại ở trong lòng Trái Đất đến không gian rộng lớn bao quanh Trái Đất.

Phân biệt từ trường với điện trường
Nhiều người thường nhầm lẫn giữa từ trường với điện trường, vậy nên các em cần phải hiểu rõ về 2 khai niệm này để giải bài tập, ứng dụng chính xác. Cụ thể:
Điện trường là mô hình tưởng tượng trong điện từ học, miêu tả cho môi trường vật chất đặc biệt bao quanh những diện tích. Điện trường thường sẽ tác động lên tất cả các hạt mang điện tích ở trong nó, gọi là lực điện.
Còn từ trường chính là môi trường vật chất đặc biệt được sinh ra quanh những điện tích chuyển động hay được tạo nên bởi sự biến thiên của các momen lưỡng cực từ hay điện trường.
Qua đó ta thấy, từ trường biến thiên sinh ra điện trường và ngược lại, một điện trường biến thiên sẽ tạo nên từ trường. Điều này thể hiện hai trường biến thiên này có mỗi quan hệ với nhau, hay về mặt bản chất thì từ trường cùng với điện trường chính là những biểu hiện riêng của một trường thống nhất là điện từ trường.
Hay nói cách khác, điện từ trường chính là một trường thống nhất gồm 2 thành phần từ trường biến thiên và điện trường biến thiên.
Ứng dụng của từ trường
Cảm ứng điện từ là một hiện tượng cực kỳ quan trọng trong đời sống hàng ngày, ngoài ra nó còn đóng vai trò to lớn trong các lĩnh vực như y tế, công nghiệp,... Không chỉ vậy, nhờ có điện từ mà con người đã tạo ra một cuộc cách mạng lớn trong lĩnh vực ứng dụng kỹ thuật. Cụ thể:
1. Thiết bị gia dụng
Điện từ đóng vai trò là nguyên tắc làm việc cơ bản của rất nhiều thiết bị gia dụng mà bạn sử dụng hàng ngày như bóng đèn, thiết bị nhà bếp, hệ thống điều hòa,...
Bếp từ
Từ trường dao động tạo ra một từ thông liên tục và lúc này vật được đặt trên bếp từ đóng vai trò như lõi từ của máy biến áp. Do đó đã tạo ra dòng điện xoáy (dòng điện Fuco hay dòng điện Foucault) lớn ở trong vật được đặt trên bếp.

Đèn huỳnh quang
Chấn lưu được sử dụng trong bóng đèn hoạt động trên nguyên lý điện từ. Tại thời điểm khi chúng ta bật đèn, nó sẽ tạo ra một điện áp cao trên hai đầu đèn và phóng điện qua đèn. Khi này dòng điện đi qua đèn tạo thành các ion tác động lên huỳnh quang làm đèn phát sáng.

Quạt điện
Quạt điện cũng như các hệ thống làm mát khác đều sử dụng động cơ điện. Những động cơ này hoạt động dựa trên nguyên lý cảm ứng điện từ và chỉ khác nhau về chi phí dựa trên ứng dụng và kích thước.

2. Trong công nghiệp
Máy phát điện
"Trái tim" của máy phát điện đó chính là một cuộn dây trong từ trường. Nguyên lý hoạt động của máy phát điện là cuộn dây điện được quay trong từ trường với tốc độ không đổi và từ đó sẽ tạo ra dòng điện xoay chiều.

Tàu đệm từ
Tàu đệm từ sử dụng nguyên lý cơ bản của nam châm như hệ thống treo điện từ (EMS) và hệ thống treo động lực học (EDS). Những nam châm này sẽ bao quanh các đường ray dẫn hướng, lực hấp dẫn giữa các hướng dẫn và nam châm nâng tàu lên.

3. Trong Y tế
Trường điện từ đóng một vai trò rất quan trọng trong các thiết bị y tế dùng để điều trị tăng thân nhiệt cho bệnh ung thư, cấy ghép và chụp cộng hưởng từ (MRI).

|
GIÚP CON HỌC TOÁN KẾT HỢP VỚI TIẾNG ANH SIÊU TIẾT KIỆM CHỈ TRÊN MỘT APP MONKEY MATH. VỚI NỘI DUNG DẠY HỌC ĐA PHƯƠNG PHÁP GIÚP BÉ PHÁT TRIỂN TƯ DUY NÃO BỘ VÀ NGÔN NGỮ TOÀN DIỆN CHỈ VỚI 2K/NGÀY.
|
Bài tập liên quan đến từ trường
Cùng Monkey áp dụng những kiến thức đã học trên để thực hành một số bài tập Vật lí về từ trường sau đây.
Câu hỏi 1: Tính chất cơ bản của từ trường là gì?
-
Gây ra lực từ tác dụng lên nam châm hoặc lên dòng điện đặt trong nó
-
Gây ra lực hấp dẫn lên các vật đặt trong nó
-
Gây ra lực đàn hồi tác dụng lên các dòng điện và nam châm đặt trong nó
-
Gây ra sự biến đổi về tính chất điện của môi trường xung quanh
Đáp án: A. Gây ra lực từ tác dụng lên nam châm hoặc lên dòng điện đặt trong nó
Câu hỏi 2: Từ trường không tồn tại ở đâu?
-
Xung quanh nam châm
-
Xung quanh điện tích đứng yên
-
Xung quanh dòng điện
-
Xung quanh Trái Đất
Đáp án: B. Xung quanh điện tích đứng yên
Câu hỏi 2: Chọn phát biểu sai khi nói về điện từ trường
-
Khi từ trường biến thiên theo thời gian sẽ có một điện trường xoáy
-
Khi điện trường biến thiên theo thời gian, nó sinh ra một từ trường xoáy
-
Điện trường xoáy là điện trường mà các đường sức là những đường cong
-
Từ trường có các đường sức từ bao quanh vô hạn các đường sức điện
Đáp án: C. Điện trường xoáy là điện trường mà các đường sức là những đường cong
Câu hỏi 4: Xung quanh vật nào sau đây không có từ trường?
-
Dòng điện không đổi
-
Dòng điện mang hạt chuyển động
-
Hạt mang điện đứng yên
-
Nam châm chữ U và nam châm thẳng
Đáp án: C. Hạt mang điện đứng yên
Câu hỏi 5: Có hai thanh kim loại bằng sắt có bề ngoài giống nhau. Nếu chúng ta đặt hai thanh kim loại gần nhau thì chúng hút nhau. Có kết luận gì về hai thanh đó?
-
Đó chính là hai thanh nam châm
-
Một cái là thanh sắt và cái còn lại là nam châm
-
Có thể là hai thanh sắt hoặc hai thanh nam châm
-
Có thể là một thanh là nam châm và một thanh sắt hoặc cũng có thể là hai thanh nam châm
Đáp án: D. Có thể là một thanh là nam châm và một thanh sắt hoặc cũng có thể là hai thanh nam châm
Câu hỏi 6: Cảm ứng từ của một dòng điện chạy trong dây dẫn thẳng dài tại một điểm M có độ lớn tăng lên khi
A. M dịch chuyển theo hướng vuông góc với dây và ra xa dây.
B. M dịch chuyển theo hướng vuông góc với dây là lại gần dây.
C. M dịch chuyển theo đường thẳng song song với dây.
D. M dịch chuyển theo một đường sức từ.
Đáp án B
Cảm ứng từ của dòng điện trong dây dẫn thẳng dài ⇒ B tăng khi r giảm. ⇒ M dịch chuyển theo hướng vuông góc với dây là lại gần dây.
Câu hỏi 7: Hai dòng điện cường độ I1 = 6 A, I2 = 9 A chạy trong hai dây dẫn thẳng song song dài vô hạn có chiều ngược nhau, được đặt trong chân khồng cách nhau một khoảng a = 10 cm. Qũy tích những điểm mà tại đó véc -tơ cảm ứng từ bằng 0 là
A. đường thẳng song song với hai dòng điện, cách I1 20 cm, cách I2 30 cm.
B. đường thẳng vuông góc với hai dòng điện, cách I1 20 cm, cách I2 30 cm.
C. đường thẳng song song với hai dòng điện, cách I1 30 cm, cách I2 20 cm.
D. đường thẳng vuông góc với hai dòng điện, cách I1 30 cm, cách I2 30 cm.
Đáp án A
Câu hỏi 8: Khi đặt đoạn dây dẫn có dòng điện vào trong từ trường có vectơ cảm ứng từ, lực từ tác dụng lên dây dẫn sẽ
A. nằm dọc theo trục của dây dẫn.
B. vuông góc với dây dẫn.
C. vừa vuông góc với dây dẫn, vừa vuông góc với vectơ cảm ứng từ.
D. vuông góc với vectơ cảm ứng từ.
Đáp án C
Câu hỏi 9: Hai dòng điện cường độ I1 = 6 A, I2 = 9 A chạy trong hai dây dẫn thẳng song song dài vô hạn có chiều ngược nhau, được đặt trong chân không cách nhau một khoảng a = 10 cm. Cảm ứng từ tại điểm M cách I1 = 6 cm và cách I2 = 4 cm có độ lớn bằng:
A. 5.10-5 T.
B. 6. 10-5 T.
C. 6,5. 10-5 T.
D. 8. 10-5 T.
Đáp án C
Câu hỏi 10: Một dây dẫn rất dài căng thẳng, ở giữa dây được uốn thành vòng tròn bán kính R = 1,5 cm, tại chỗ chéo nhau dây dẫn được cách điện. Dòng điện chạy trên dây có cường độ 3 A. Cảm ứng từ tại tâm O của vòng tròn là:
A. 16,6.10-5 T.
B. 6,5. 10-5 T.
C. 7. 10-5 T
D. 18. 10-5 T.
Đáp án A
Như vậy, thông qua bài viết này, chúng ta đã hiểu rõ hơn về từ trường là gì, bên tính chất, những ứng dụng trong thực tế của từ trường và cùng thực hành một số bài tập trắc nghiệm cơ bản. Hy vọng những thông tin này sẽ giúp bạn nắm vững cũng như biết thêm nhiều kiến thức bổ ích và thành thạo hơn trong những dạng bài tập liên quan đến từ trường. Hãy thường xuyên truy cập vào kiến thức cơ bản để cập nhập thêm nhiều thông tin thú vị về các môn học nhé !
|
Bí quyết giúp con học nhanh, nhớ lâu ngữ pháp tiếng Anh bằng truyện & hình ảnh chuyển động cực thú vị |









![Các từ khó trong tiếng Việt lớp 3 dễ hiểu nhầm nghĩa [Cần chú ý!]](https://vnmedia2.monkeyuni.net/upload/web/storage_web/20-03-2026_15:47:44_cac-tu-kho-trong-tieng-viet-lop-3.png)
