Axit nitric (HNO3) là một trong những dòng hóa chất nổi bật được ứng dụng rộng rãi trong đời sống hiện tại. Vậy axit này là gì? Cùng Monkey tìm hiểu cấu tạo, tính chất, điều chế và ứng dụng của axit nitric trong bài viết dưới đây.
|
VIDEO TÓM TẮT NHANH NỘI DUNG BÀI VIẾT |
Axit nitric là gì?
Khái niệm: Theo khái niệm từ trang Wiki thì Axit nitric là một hợp chất vô cơ có công thức hóa học HNO3, được xem là một dung dịch nitrat hidro hay còn gọi là axit nitric khan. Axit nitric được hình thành trong tự nhiên, do sấm và sét trong những cơn mưa tạo thành.
Công thức phân tử: HNO3
Cấu tạo HN03:

-
Mũi tên trong công thức cấu tạo của HNO3 bên trên cho biết: Cặp electron liên kết chỉ do nguyên tử nitơ cung cấp.
-
Trong hợp chất HNO3, nitơ có số oxi hóa cao nhất là +5, hóa trị IV.
Tính chất vật lý của axit nitric HNO3
Sau đây là những tính chất vật lý cơ bản của axit nitric (HNO3) mà bạn cần nhớ:
-
Dạng tồn tại: Axit nitric tinh khiết (tỷ trọng khoảng từ 1522 kg/m3) là chất lỏng không màu, bốc khói mạnh trong không khí ẩm. Dung dịch có hơn 86% axit nitric được gọi là axit nitric bốc khói. Chúng có thể bốc khói trắng và khói đỏ tùy thuộc vào nồng độ của nitơ đioxit. Axit nitric cũng có thể tồn tại ở dạng khí, không màu. Trong môi trường tự nhiên, do sự tích tụ của nitơ nên axit nitric có màu vàng nhạt.
-
Axit cực độc: Axit nitric là một chất axit độc có khả năng ăn mòn và dễ gây cháy. D= 1.53G/cm3
-
Kém bền: Cấu tạo phân tử HNO3 kém bền ngay cả ở điều kiện thường. Dung dịch HNO3 đặc phân hủy một phần giải phóng nitơ dioxit NO2 - khí này tan trong dung dịch axit, khiến dung dịch chuyển vàng.
4HNO3 → 4NO2 + 2H2O + O2 (ánh sáng mặt trời)
Đây là lý do cần bảo quản axit nitric trong các chai, lọ tối màu, tránh ánh sáng và đảm bảo nhiệt độ dưới 0°C.
-
Tan trong nước: Cấu tạo phân tử nitric acid tan trong nước theo bất kỳ tỉ lệ nào. (C<65%)
-
Nhiệt độ đông đặc: -42°C
-
Nhiệt độ sôi: 83°C.
Tính chất hóa học của axit nitric
Axit nitric (HNO3) là một trong những axit cực mạnh được nhắc tới nhiều nhất trong lĩnh vực hóa học và ứng dụng thực tế. Chắc hẳn bạn vô cùng tò mò về tính chất hóa học của loại axit này? Dưới đây là 3 tính chất hóa học nổi bật nhất của HNO3.
.jpg)
Axit nitric là một trong những axit mạnh nhất
Axit nitric được xếp hạng trong danh sách những axit mạnh nhất.
-
Đây là một axit khan - một monoaxit mạnh có thể nitrat hóa nhiều hợp chất vô cơ với hằng số cân bằng axit (pKa) = -2.
-
Axit nitric phân li hoàn toàn thành các ion H+ và NO3- trong dung dịch loãng.
-
Dung dịch HNO3 làm quỳ tím chuyển đỏ.
-
Tác dụng với oxit bazơ, bazơ và muối của axit yếu hơn tạo ra muối nitrat.
Ví dụ:
CuO + 2HNO3 → Cu(NO3)2 + H2O
CaCO3 + 2HNO3 → Ca(NO3)2 + H2O + CO2
Ba(OH)2 + 2HNO3 → Ba(NO3)2 + 2H2O
-
Axit nitric tác dụng với oxit bazơ, bazo, muối mà kim loại trong hợp chất này chưa lên hóa trị cao nhất:
Ví dụ:
- FeO + 4HNO3 → Fe(NO3)3 + NO2 + 2H2O
- FeCO3 + 4HNO3 → Fe(NO3)3 + NO2 + 2H2O + CO2
Axit nitric có tính oxi hóa
Axit nitric cũng là 1 trong những axit có tính oxi hóa mạnh. Nó có thể bị khử đến các sản phẩm khác nhau của nitơ, phụ thuộc vào nồng độ axit mạnh hay yếu của chất khử. Cùng tìm hiểu tính oxi hóa của axit nitric thông qua 3 phản ứng:
-
Tác dụng với kim loại
-
Tác dụng với phi kim
-
Tác dụng với hợp chất
Tác dụng với kim loại
Axit nitric có khả năng oxi hóa hầu hết các kim loại tạo ra muối nitrat, ngay cả kim loại có tính khử yếu (Cu, Ag)..., ngoại trừ Pt và Au. Lúc này, kim loại bị oxi hóa đến mức cao nhất. Sản phẩm của phản ứng này sẽ là NO2(+4) đối với HNO3 đặc và NO(+2) đối với HNO3 loãng. Nhôm, sắt và crom thụ động với axit nitric đặc nguội vì lớp màng oxit bền được tạo ra bảo vệ chúng không bị oxy hóa tiếp. Đây cũng là lý do bình nhôm hoặc sắt được dùng để đựng HNO3 đặc.
Phương trình phản ứng:
-
Kim loại + HNO3 đặc → muối nitrat + NO + H2O (nhiệt độ)
-
Kim loại + HNO3 loãng → muối nitrat + NO + H2O
-
Kim loại + HNO3 loãng lạnh → muối nitrat + H2
-
Mg(rắn) + 2HNO3 loãng lạnh → Mg(NO3)2 + H2 (khí)
Ví dụ:
Cu + 4HNO3 đặc → Cu(NO3)2 + 2NO2(↑) + 2H2O
0 +5 +2 +4
3Cu + 8HNO3 loãng → 3Cu(NO3)2 + 2NO (↑) + 4H2O
0 +5 +2 +2
Tác dụng với phi kim
Khi được đun nóng, HNO3 đặc có khả năng oxi hóa được các phi kim như S, C, P... (các nguyên tố á kim, ngoại trừ halogen và silic). Sản phẩm tạo thành là nito dioxit (nếu là axit nitric đặc) và oxit nito (với axit loãng và nước).
Ví dụ:
- S + 6HNO3 đặc → H2SO4 + 6NO2(↑) + 2H2O (nhiệt độ)
- 0 +5 +6 +4
- C + 4HNO3 đặc → 4NO2 + 2H2O + CO2
- P + 5HNO3 đặc → 5NO2 + H2O + H3PO4
- 3C + 4HNO3 loãng → 3CO2 + 4NO + 2H2O
Tác dụng với hợp chất
Là một trong những axit cực mạnh, axit nitric (HNO3) đặc có khả năng oxi hóa - phá hủy nhiều hợp chất vô cơ, hữu cơ khác nhau.. Vải, giấy, mùn cưa,... đều bị phá hủy hoặc bốc cháy khi tiếp xúc với HNO3 đặc. Vì vậy, sẽ vô cùng nguy hiểm nếu để axit nitric (HNO3) tiếp xúc với cơ thể người.
Ví dụ:
- 3H2S + 2HNO3 (>5%) → 3S (↓) + 2NO + 4H2O
- PbS + 8HNO3 đặc → PbSO4(↓) + 8NO2 + 4H2O
- HNO3 hòa tan Ag3PO4, không tác dụng với HgS.
Bảng tổng hợp công thức phản ứng của HNO3
Axit nitric (HNO₃) là một trong những axit vô cơ mạnh và có tính oxi hoá rất mạnh, đặc biệt khi ở dạng đặc, nóng. HNO₃ phản ứng được với hầu hết kim loại (trừ Au, Pt), phi kim, và nhiều hợp chất khử. Tùy theo nồng độ (loãng – đặc) và điều kiện (nguội – nóng), ion NO₃⁻ sẽ bị khử tạo ra nhiều sản phẩm khác nhau như NO, NO₂, N₂O, NH₄⁺,…
Bảng dưới đây tổng hợp đầy đủ và phân loại rõ ràng các phản ứng tiêu biểu của HNO₃:
1. HNO₃ + Kim loại
(a) HNO₃ loãng
- 3Cu + 8HNO₃ → 3Cu(NO₃)₂ + 2NO ↑ + 4H₂O
- 4Zn + 10HNO₃ → 4Zn(NO₃)₂ + N₂O ↑ + 5H₂O
(b) HNO₃ đặc nguội
- Cu + 4HNO₃ → Cu(NO₃)₂ + 2NO₂ ↑ + 2H₂O
- Ag + 2HNO₃ → AgNO₃ + NO₂ ↑ + H₂O
(c) HNO₃ đặc nóng
- 4Zn + 10HNO₃ → 4Zn(NO₃)₂ + NH₄NO₃ + 3H₂O
- Mg + 4HNO₃ → Mg(NO₃)₂ + 2NO₂ + 2H₂O
2. HNO₃ + Phi kim
- C + 4HNO₃ → CO₂ + 4NO₂ + 2H₂O
- S + 6HNO₃ → H₂SO₄ + 6NO₂ + 2H₂O
- P + 5HNO₃ → H₃PO₄ + 5NO₂ + H₂O
3. HNO₃ + Chất khử
- FeO + 4HNO₃ → Fe(NO₃)₃ + NO + 2H₂O
- 2HNO₃ + SO₂ + H₂O → 2NO + H₂SO₄
- 2HNO₃ + H₂S → S + 2NO + 2H₂O
4. Tính axit của HNO₃
- HNO₃ + NaOH → NaNO₃ + H₂O
- 2HNO₃ + CuO → Cu(NO₃)₂ + H₂O
- 2HNO₃ + CaCO₃ → Ca(NO₃)₂ + CO₂ ↑ + H₂O
5. Hiện tượng thụ động (Passivation)
Al, Cr, Fe: không phản ứng với HNO₃ đặc do tạo màng oxit bền.
Cách điều chế axit nitric HNO3
Trong tự nhiên, axit nitric (HNO3) hình thành từ những cơn mưa lớn có sét, tạo ra những trận mưa axit. Vậy trong công nghiệp và phòng thí nghiệm, đâu là cách điều chế axit nitric?
.jpg)
Điều chế axit nitric trong phòng thí nghiệm
Axit nitric trong phòng thí nghiệm được điều chế bằng cách đun hỗn hợp natri nitrat hoặc kali nitrat rắn với axit sunfuric (H2SO4) đặc cho đến khi còn lại chất kết tinh màu trắng.

| Phương trình: NaNO3 (tinh thể) + H2SO4 (đặc) → HNO3 + NaHSO4 (nhiệt độ) |
HNO3 thoát ra được dẫn vào bình, làm lạnh và ngưng tụ. Một lưu ý khi thực hiện thí nghiệm: Các dụng cụ phải có chất liệu thủy tinh do axit nitric khan.
Ngoài ra, axit nitric cũng có thể được điều chế trong phòng thí nghiệm bằng cách phân hủy nhiệt của đồng (II) nitrat tạo ra khí nitơ dioxide và khí oxy, sau đó truyền qua nước để tạo ra axit nitric.
Phương trình như sau:
- 2Cu(NO3) 2 → 2 CuO + 4 NO2 + O2
- 4 NO2 + O2 → HNO2 + HNO3
3 giai đoạn sản xuất axit nitric trong công nghiệp
Để điều chế axit nitric trong công nghiệp, người ta sử dụng amoniac với 3 giai đoạn:
-
Giai đoạn 1: Oxi hóa khí amoniac thành nitơ monooxit bằng oxi ở nhiệt độ 850-900 độ C với chất xúc tác là platin.
4NH3 + 5O2 → 4NO + 6H2O (850-900*C + Pt) (H<0)
-3 +2
-
Giai đoạn 2: Oxi hóa nitơ monooxit thành nitơ dioxit bằng oxi không khí trong điều kiện thường.
2NO + O2 → 2NO2
-
Giai đoạn 3: Cho nitơ đioxit tác dụng với nước và oxi, tạo ra axit nitric.
4NO2 + O2 + H2O --> 4HNO3
Dung dịch axit nitric thu được có nồng độ từ 52 - 68%. Người ta tiếp tục chưng cất dung dịch này cùng H2SO4 đậm đặc để thu được HNO3 với nồng độ cao hơn 68%. Axit nitric công nghiệp thường có nồng độ 52% và 68%, được thực hiện bằng công nghệ Ostwald do Wilhelm Ostwald sáng chế.
Xem thêm:
- Khí nitơ (N2): Chi tiết lý thuyết và bài tập áp dụng
- Phản ứng trao đổi ion: Điều kiện xảy ra phản ứng và viết phương trình ion rút gọn
Ứng dụng phổ biến nhất của axit nitric (HNO3) trong thực tiễn
Axit nitric HNO3 được nhắc đến là một axit cực độc với khả năng ăn mòn và phá hủy nhưng không thể phủ nhận những ứng dụng quan trọng của nó trong thực tiễn. Những ứng dụng đó là gì?
.jpg)
Ứng dụng axit nitric trong phòng thí nghiệm
Trong phòng thí nghiệm, axit nitric là một tác nhân quan trọng với vai trò:
-
Làm thuốc thử: Là thuốc thử chính được sử dụng trong quá trình nitrat hóa – việc bổ sung một nhóm nitro, điển hình là một phân tử hữu cơ. Axit nitric cũng thường được sử dụng như một tác nhân oxy hóa mạnh.
-
Thí nghiệm tại trường học: Axit nitric được sử dụng tại trường học để tiến hành các thí nghiệm liên quan đến việc thử clorit. Điển hình nhất là cho HNO3 tác dụng với mẫu thử, sau đó cho dung dịch bạc nitrat vào để tìm kết tủa trắng của bạc clorua.
Ứng dụng axit nitric trong công nghiệp
Axit nitric (HNO3) đóng một vai trò quan trọng trong công nghiệp:
-
Chế tạo thuốc nổ: Axit nitric 68% được sử dụng để chế tạo thuốc nổ bao gồm: Nitroglycerin, trinitrotoluen (TNT) và cyclotrimethylenetrinitramine (RDX).
-
Sản xuất phân bón: Axit nitric cũng được dùng để tạo ra các loại phân bón chứa nitơ như: Phân đạm một lá nitrat amoni NH4NO3, muối nitrat như KNO3 , Ca(NO3)2 ,...
-
Hợp chất nền trong kỹ thuật ICP-MS và ICP-AES: Axit nitric có nồng độ 0,5-2% được sử dụng làm hợp chất nền để xác định trong dung dịch có tồn tại kim loại không. Người ta gọi đây là kỹ thuật ICP-MS và ICP-AES. Trong kỹ thuật này cần sử dụng axit nitric tinh khiết 100% vì một số lượng ion kim loại nhỏ cũng có thể gây ảnh hưởng tới kết quả phân tích.
-
Ứng dụng trong ngành luyện kim, xi mạ, tinh lọc: Vì axit nitric phản ứng với hầu hết các kim loại trong các hợp chất hữu cơ nên nó được ứng dụng phổ biến trong ngành luyện kim, xi mạ và tinh lọc. Khi cho HNO3 kết hợp với axit clorua, thu được dung dịch nước có khả năng hòa tan bạch kim và vàng, được gọi là cường toan.
-
Sản xuất chất hữu cơ: Trong công nghiệp, người ta sử dụng axit nitric để sản xuất các chất hữu cơ, các loại bột màu, sơn hay thuốc nhuộm vải.
-
Thuốc tẩy màu: HNO3 còn được sử dụng làm thuốc tẩy màu- colorometric test. Bên cạnh đó, nó còn giúp phân biệt heroin và morphine.
-
Chất trung gian sản xuất bọt xốp polyuretan, sợi aramit và dược phẩm: HNO3 được dùng để sản xuất nitrobenzen - một tiền chất để sản xuất ra anilin, dẫn xuất anilin với những ứng dụng then chốt trong công nghiệp sản xuất dược phẩm, bọt xốp polyuretan, sợi aramit và các sản phẩm polyuretan khác như chất kết dính, chất bịt kín, chất bọc phủ, chất đàn hồi…
-
Chất tẩy rửa: Axit nitric được dùng làm chất tẩy rửa các đường ống và bề mặt kim loại, được ứng dụng phổ biến trong các nhà máy sữa.
-
Cân bằng độ tiêu chuẩn của nước: Axit nitric còn được dùng để loại bỏ các tạp chất và cân bằng lại độ tiêu chuẩn của nước. Bên cạnh đó, nó còn là một chất oxy hóa trong nhiên liệu lỏng tên lửa.
Những lưu ý quan trọng bạn cần biết khi sử dụng axit nitric
Như chúng ta đã biết, axit nitric HNO3 là một axit độc, với đặc tính ăn mòn và dễ bốc cháy. Chính vì vậy, hãy thận trọng khi tiếp xúc với loại axit này. Dưới đây là những lưu ý quan trọng bạn cần nhớ.
.jpg)
Tiếp xúc với axit nitric có thể gây những tổn thương gì?
Tiếp xúc HNO3 qua đường mắt
-
Hậu quả: Gây kích ứng có thể gây bỏng giác mạc và làm mù lòa.
-
Cách xử lý: Trong trường hợp bị axit nitric bắn vào mắt, bạn cần dùng nước sạch để rửa mắt ngay lập tức, nháy mắt liên tục trong 15 phút. Sau đó, hãy dùng muối natri clorua 0.9% để rửa lại và tới cơ sở y tế để được điều trị kịp thời.
Tiếp xúc HNO3 qua đường thở
-
Hậu quả: Gây kích ứng nghiêm trọng, có thể gây khó thở, dẫn đến viêm phổi và tử vong. Một số triệu chứng khác như ho, nghẹt thở, kích ứng mũi…
-
Cách xử lý: Di chuyển đến khu vực thoáng khí, ủ ấm, nằm yên rồi liên lạc với cơ sở y tế gần nhất để điều trị kịp thời.
Tiếp xúc HNO3 qua đường da
-
Hậu quả: Gây kích ứng da, mẩn đỏ, đau rát và bỏng nặng. Ở nồng độ đậm đặc, nó gây bỏng da, khiến da chuyển màu vàng do phản ứng với protein keratin.
-
Cách xử lý: Ngay lập tức bỏ quần áo bị dính axit, sử dụng khăn khô lau vết thương, sau đó dùng nước sạch (dùng xà phòng nếu có) rửa lại vết thương nhiều lần. Đưa nạn nhân tới cơ sở y tế để điều trị kịp thời.
Tiếp xúc HNO3 qua đường tiêu hóa
-
Hậu quả: Nuốt phải HNO3 có thể gây cháy miệng, bỏng dạ dày.
-
Cách xử lý: Hãy hòa tan MgO cùng nước hoặc sữa và lòng trắng trứng rồi đưa nạn nhân tới cơ sở y tế gần nhất để điều trị.
Phơi nhiễm lâu với axit nitric có thể dẫn tới ung thư. Chính vì những hậu quả nghiêm trọng này, khi làm việc cần tiếp xúc với axit nitric, hãy mang dụng cụ bảo hộ lao động an toàn như kính mắt, mũ, khẩu trang, găng tay, quần áo dài tay, giày tất…và thường xuyên giữ không gian làm việc thông thoáng, sạch sẽ.
Lưu ý cần nhớ để đảm bảo an toàn khi tiếp xúc với axit nitric
Axit nitric là một chất oxy hóa mạnh, có thể phát nổ khi tác dụng với cyanit, bột kim và tự bốc cháy khi phản ứng với turpentine. Ngoài việc chuẩn bị dụng cụ bảo hộ lao động an toàn, để đảm bảo an toàn khi tiếp xúc và sử dụng axit nitric, bạn cần lưu ý những nguyên tắc sau:
-
Khi pha loãng HNO3, tuyệt đối không được đổ nước vào axit mà phải đổ axit vào nước.
-
Sử dụng các thùng chứa axit bằng nhựa thay cho kim loại vì axit nitric tác dụng với kim loại.
-
Các thùng chứa nên tối màu, được đậy nắp cẩn thận, tránh xa ánh nắng mặt trời.
-
Khu vực lưu trữ cần sạch sẽ, thoáng mát, tránh xa các nguồn nhiệt hoặc các vật liệu không tương thích như: Hợp chất hữu cơ, kim loại, rượu…
-
Nền nhà cần chống được axit.
-
Trong trường hợp hỏa hoạn: Nếu hỏa hoạn xảy ra do axit nitric, bạn cần xử lý bằng cách sử dụng bột khô và bình khí cacbon dioxit để dập lửa. Sau đó, dùng dung dịch kiềm để trung hòa axit. Di chuyển nhanh chóng những thùng chứa HNO3, hoặc dùng nước làm nguội các thùng này tránh trường hợp phát nổ.
-
Trong trường hợp axit nitric bị tràn, rò rỉ: Hãy dùng đất, cát phủ lên nơi axit bị rò rỉ ra. Sau đó, sử dụng soda hoặc Ca(OH)2 khan để trung hòa. Tiếp tục dùng nước để làm sạch khu vực hóa chất HNO3 bị rò rỉ.
Bài tập về axit nitric SGK Hóa học 11 kèm lời giải chi tiết
Để nắm rõ hơn những kiến thức về axit nitric (HNO3), cùng áp dụng những lý thuyết đã học trên để thực hành một số bài tập cơ bản trong SGK Hóa học 11 dưới đây.

Giải bài 1 trang 45 SGK Hóa 11
Viết công thức electron và công thức cấu tạo của axit nitric. Cho biết nguyên tố nitơ có hoá trị và số oxi hoá bằng bao nhiêu?
Lời giải:
-
Công thức electron:
.jpg)
-
Công thức cấu tạo:

-
Nguyên tố nitơ có hoá trị 4 và số oxi hoá +5
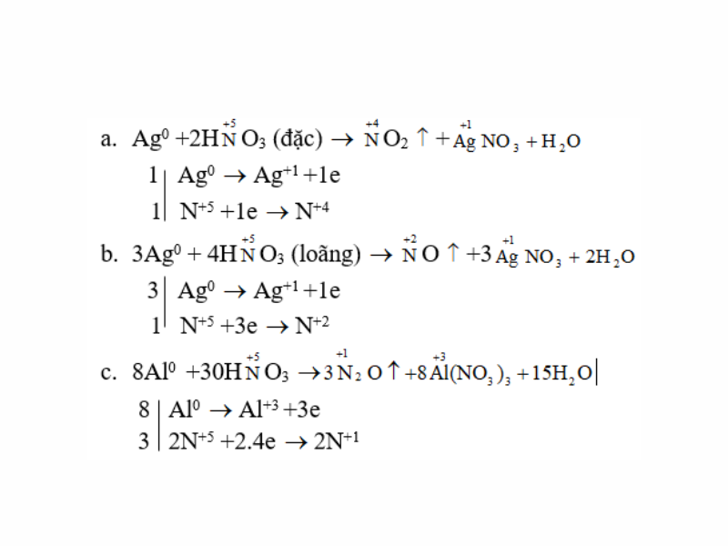
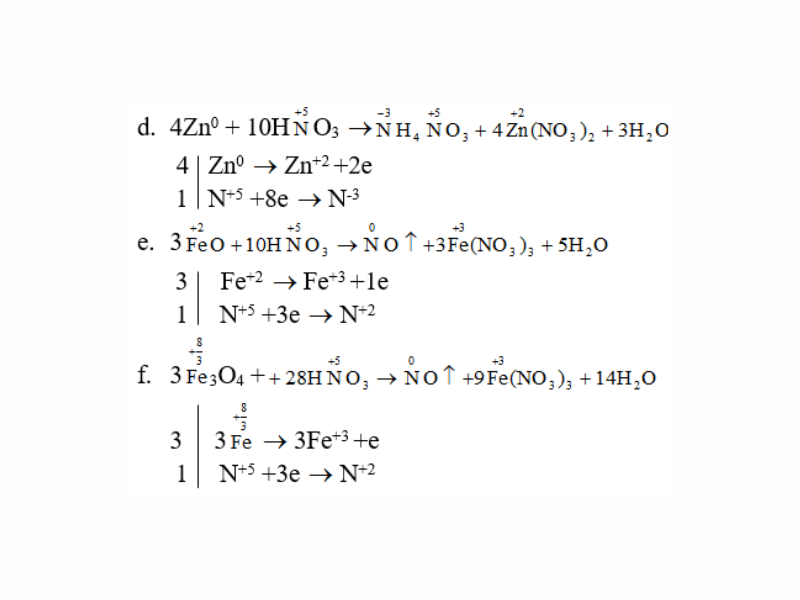
Giải bài 2 SGK Hóa 11 trang 45
Lập các phương trình HNO3:
a. Ag + HNO3 (đặc) → NO2 ↑ + ? + ?
b. Ag + HNO3 (loãng) → NO ↑ + ? + ?
c. Al + HNO3 → N2O ↑ + ? + ?
d. Zn + HNO3 → NH4NO3 + ? + ?
e. FeO + HNO3 → NO ↑ + Fe(NO3)3 + ?
f. Fe3O4 + HNO3 → NO ↑ + Fe(NO3)3 + ?
Lời giải:


Giải bài 3 SGK trang 45 Hóa 11
Hãy chỉ ra những tính chất hoá học chung và khác biệt giữa axit nitric và axit sunfuric. Viết các phương trình hoá học để minh hoạ?
Lời giải:
Tính chất khác biệt:
-
Axit H2SO4 loãng có tính axit, H2SO4 đặc có tính oxi hoá mạnh, còn axit HNO3 dù là axit đặc hay loãng đề có tính oxi hoá mạnh khi tác dụng với các chất có tính khử.
-
H2SO4 loãng không tác dụng được với các kim loại đứng sau hidro trong dãy hoạt động hoá học như axit HNO3.
Fe + H2SO4 (loãng) → FeSO4 + H2↑
3Cu + 8HNO3 → 3Cu(NO3)2 + 2NO + 4H2O
Tính chất chung:
H2SO4 loãng và HNO3 đều có tính axit mạnh
Ví dụ:
-
Đổi màu chất chỉ thị: Quỳ tím chuyển thành màu hồng
-
Tác dụng với bazơ, oxit bazơ không có tính khử (các nguyên tố có số oxi hoá cao nhất):
2Fe(OH)3 + 3H2SO4 → Fe2(SO4)3+ 6H2O
Fe2O3 + 6HNO3 → 2Fe(NO3)3 + 3H2O
2HNO3 + CaCO3 → Ca(NO3)2 + H2O + CO2↑
H2SO4 + Na2SO3 → Na2SO4 + H2O + SO2↑
H2SO4(đặc) và axit HNO3 đều có tính oxi hoá mạnh
Ví dụ:
-
Tác dụng được với hầu hết các kim loại (kể cả kim loại đứng sau hiđro trong dãy hoạt động hoá học) và đưa kim loại lên số oxi hoá cao nhất.
Fe + 4HNO3 → Fe(NO3)3 + NO↑ + 2H2O
Cu + 2H2SO4(đặc) → CuSO4 + SO2↑ + 2H2O
-
Tác dụng với một số phi kim (đưa phi kim lên số oxi hoá cao nhất)
C + 2H2SO4(đặc) → CO2↑ + 2SO2↑ + 2H2O
S + 2HNO3 → H2SO4 + 2NO↑
-
Tác dụng với hợp chất (có tính khử)
3FeO + 10HNO3 → 3Fe(NO3)3 + NO↑ + 5H2O
2FeO + 4H2SO4(đặc) → Fe2(SO4)3 + SO2↑ + 4H2O
Cả hai axit khi làm đặc nguội đều làm Fe và Al bị thụ động hoá (có thể dùng bình làm bằng nhôm và sắt để đựng axit nitric và axit sunfuric đặc)
Giải bài 7 Hóa lớp 11 trang 45 SGK
Để điều chế được 5,000 tấn axit nitric nồng độ 60,0% cần dùng bao nhiêu tấn amoniac? Biết rằng sự hao hụt amoniac trong quá trình sản xuất là 3,8%.
Lời giải:
Khối lượng HNO3 nguyên chất là: 5.60/ 100 = 3 tấn
Sơ đồ phản ứng điều chế HNO3 từ NH3:
NH3 → NO → NO2 → HNO3
1mol ← 1mol
17g 63g
x tấn 3 tấn
Theo sơ đồ trên, n(HNO3) = m(NH3)
→ m(NH3) = 3/63 x 17 = 0.809524 tấn
Khối lượng NH3 hao hụt là 3.8% → Hiệu suất đạt: 100 - 3.8 = 96.2%
Vì vậy, khối lượng amoniac cần dùng là: 0.809524/ 96.2% = 0.8415 tấn
FAQ - Một số câu hỏi thường gặp
1. HNO₃ có phải là axit mạnh không?
Có. HNO₃ là một axit mạnh và điện li hoàn toàn trong dung dịch nước.
2. Vì sao HNO₃ là chất oxi hóa mạnh?
Do trong ion NO₃⁻, nguyên tử N đang ở mức oxi hóa +5 – mức cao nhất. N dễ bị khử về mức thấp hơn (NO₂, NO, N₂O, NH₄⁺), nhờ đó HNO₃ thể hiện tính oxi hóa mạnh.
3. HNO₃ có phản ứng với hầu hết kim loại không?
Có. Trừ Au và Pt, hầu hết kim loại đều bị HNO₃ oxi hóa.
4. Tại sao với HNO₃ không thu được H₂?
Vì HNO₃ là chất oxi hóa mạnh; thay vì giải phóng H₂, ion NO₃⁻ bị khử tạo NO, NO₂, N₂O, hoặc NH₄⁺ tùy điều kiện.
5. Kim loại nào bị thụ động hóa bởi HNO₃ đặc?
Al, Fe, Cr → tạo màng oxit bền, ngăn không cho kim loại tiếp tục phản ứng.
6. Khi nào HNO₃ tạo NO và khi nào tạo NO₂?
Dung dịch loãng → sản phẩm khử chủ yếu: NO
Dung dịch đặc → sản phẩm khử chủ yếu: NO₂
7. HNO₃ đặc nóng tạo ra sản phẩm khử nào?
Có thể tạo ra các sản phẩm khử sâu hơn như:
NH₄⁺ (trong NH₄NO₃)
Hoặc tạo NO₂ (nếu oxy hóa không quá mạnh)
8. Vì sao HNO₃ bảo quản trong chai tối màu?
Vì HNO₃ dễ bị phân hủy bởi ánh sáng thành NO₂, O₂, và H₂O, làm dung dịch chuyển màu vàng nâu.
9. HNO₃ có tác dụng với phi kim không?
Có. Nhiều phi kim (C, S, P…) bị HNO₃ đặc oxi hóa mạnh.
10. HNO₃ có gây nguy hiểm không?
Có. HNO₃ gây bỏng mạnh, ăn mòn và thải khí NO₂ độc hại. Cần bảo hộ khi sử dụng.
Trên đây là những kiến thức cơ bản và quan trọng nhất mà các bạn cần ghi nhớ khi tìm hiểu về axit nitric (HNO3). Hy vọng bài viết giúp bạn nắm chắc các thông tin về loại axit phổ biến này và có thể áp dụng chúng vào các bài tập Hóa học cũng như thực tiễn đời sống. Chúc bạn có một quá trình học tập hiệu quả và đừng quên chia sẻ bài viết nếu thấy có ích.
Nitric acid - Ngày truy cập: 20/7/2022
Nitric acid chemical compound - Ngày truy cập: 20/7/2022
Nitric acid - Ngày truy cập: 20/7/2022


_(1).png)






