Cơ năng là một trong những khái niệm được nhắc đến nhiều nhất trong chương trình Vật Lý 10. Vậy cơ năng là gì? Định luật bảo toàn cơ năng được phát biểu như thế nào? Monkey sẽ tổng hợp toàn bộ các kiến thức cần thiết trong bài viết sau đây.
Cơ năng là gì?
Cơ năng là gì? Cơ năng là đại lượng vật lý thể hiện khả năng sinh công của một vật bất kỳ. Hiểu một cách cụ thể, một vật có cơ năng khi nó có khả năng thực hiện công cơ học. Trong vật lý, cơ năng bằng tổng của thế năng và động năng. Vật thực hiện công càng lớn thì cơ năng của vật càng lớn.
- Ký hiệu của cơ năng là W.
- Đơn vị là Jun (J).

Ví dụ: Đặt một viên gạch trên một tấm kính. Ban đầu, viên gạch không có khả năng thực hiện công lên tấm kính. Tuy nhiên, khi đưa nó lên một độ cao h so với tấm kính và thả rơi thì viên gạch có thể làm tấm kính bị vỡ. Khi đó, ta nói viên gạch có khả năng sinh công. Vì vậy, khi đưa viên gạch lên độ cao h, viên gạch đã có cơ năng.
Cơ năng có mấy dạng?
Cơ năng gồm có 2 dạng chính đó là thế năng và động năng.
Về thế năng
Cơ năng của một vật đặt tại một độ cao nhất định gọi là thế năng. Thế năng hấp dẫn tức là cơ năng của một vật ở độ cao h so với mặt đất hoặc so với một vị trí khác được chọn làm mốc. Khi vật nằm trên mặt đất, tức khoảng cách từ vật đến mặt đất bằng 0 nên thế năng hấp dẫn bằng 0. Vật ở càng cao và có khối lượng càng lớn thì thế năng hấp dẫn có giá trị càng lớn.
Bên cạnh đó, thế năng đàn hồi được cũng định nghĩa là một dạng cơ năng của vật, nó phụ thuộc vào độ biến dạng của lò xo. Để xác định được một vật có thế năng đàn hồi hay không, ta sẽ xét xem vật có bị biến dạng hay có tính đàn hồi không.
Ví dụ: Khi kéo dây cung, ta đã làm thay đổi hình dạng của dây cung nên đồng nghĩa với việc chúng ta đã cung cấp cho cây cung một thế năng đàn hồi.
Về động năng
Cơ năng của vật tạo ra do chuyển động gọi là động năng. Vật chuyển động càng nhanh và có khối lượng càng lớn thì động năng càng lớn. Nếu vật đứng yên thì động năng bằng 0.

Sự chuyển hóa giữa động năng và thế năng
Động năng và thế năng là hai dạng năng lượng cơ bản của vật, và chúng có thể chuyển hóa cho nhau. Cụ thể:
- Động năng có thể chuyển hóa thành thế năng. Ví dụ: Khi một quả bóng được ném lên cao, động năng của quả bóng sẽ giảm dần và chuyển hóa thành thế năng trọng trường.
- Thế năng có thể chuyển hóa thành động năng. Ví dụ: Khi một quả bóng rơi từ trên cao xuống, thế năng trọng trường của quả bóng sẽ giảm dần và chuyển hóa thành động năng.
Sự chuyển hóa giữa động năng và thế năng xảy ra liên tục trong các chuyển động của vật. Ví dụ như khi một con lắc lò xo dao động, động năng và thế năng của con lắc chuyển hóa qua lại cho nhau.
Trong thực tế, do luôn có lực ma sát và các lực cản khác, nên một phần năng lượng sẽ bị hao hụt dưới dạng nhiệt. Tuy nhiên, trong các bài toán cơ học, ta thường bỏ qua các lực cản để đơn giản hóa bài toán.
Định luật bảo toàn cơ năng
Định luật bảo toàn cơ năng: Thế năng và động năng của 1 vật đều có thể biến đổi qua lại khi vật chuyển động bên trong trọng trường. Tuy nhiên, vì cơ năng bằng tổng thế năng và động năng nên tổng số này luôn không đổi.
Ta có công thức tính cơ năng:
|
W = Wđ + Wt = const |
Hệ quả:
- Khi một vật chuyển động trong trọng trường, động năng của vật sẽ tăng nếu thế năng của vật giảm và ngược lại.
- Tại vị trí mà thế năng ở cực tiểu thì động năng ở cực đại và ngược lại khi thế năng ở cực đại thì động năng sẽ ở cực tiểu.

Lưu ý: Định luật bảo toàn cơ năng (hay sự bảo toàn cơ năng) chỉ áp dụng khi vật chuyển động trong trọng trường và không chịu tác dụng của lực ma sát mà chỉ chịu tác dụng của trọng lực hay lực đàn hồi.
Cơ năng là gì? Tất tần tật kiến thức cơ năng trong vật lý 8 từ A-Z
Tổng hợp lý thuyết định luật bảo toàn năng lượng cần nhớ
Lực hấp dẫn là gì? Định luật, đặc điểm & hướng dẫn giải bài tập chi tiết
Cơ năng của vật chuyển động trong trọng trường
Cơ năng của vật chuyển động trong trọng trường là gì? Tính như thế nào? Cùng tìm hiểu trong phần dưới đây:
Định nghĩa
Khi một vật bất kỳ chuyển động trong trọng trường thì tổng thế năng và động năng của vật được gọi là cơ năng.
Công thức tính cơ năng của vật chuyển động trong trọng trường
Công thức:
Sự bảo toàn cơ năng của vật chuyển động trong trọng trường
Khi một vật bất kỳ chuyển động trọng trường và chỉ chịu tác dụng của trọng lực (bỏ qua ma sát, lực cản,...) thì cơ năng của vật không đổi (là một đại lượng bảo toàn).
Từ đó, ta có được:
Cơ năng của vật chịu tác dụng của lực đàn hồi
Sự bảo toàn cơ năng của vật chịu tác dụng của lực đàn hồi
Khi chỉ có tác dụng của lực đàn hồi gây ra bởi sự biến dạng của một lò xo đàn hồi tác dụng lên vật, thì trong quá trình chuyển động, cơ năng được xác định bằng tổng thế năng và động năng đàn hồi của vật là một đại lượng bảo toàn.
Lưu ý: Định luật bảo toàn cơ năng chỉ đúng khi vật chịu tác dụng của 2 lực là trọng lực và lực đàn hồi và không chịu thêm tác động của bất kỳ một lực nào khác như lực cản, lực ma sát,...
Công thức tính cơ năng của vật chịu tác dụng của lực đàn hồi
Giải đáp các thắc mắc về thế năng và động năng
1. Thế năng bằng cơ năng khi nào?
Cơ năng bằng thế năng khi nào? Thế năng bằng cơ năng khi vật chỉ có thế năng và không có động năng. Bởi vì, cơ năng của một vật là tổng của thế năng và động năng (W = Wt + Wđ), nên khi động năng của vật bằng 0, thì cơ năng của vật bằng thế năng.
Ví dụ: Một quả bóng được treo ở độ cao h so với mặt đất. Khi quả bóng được thả, thế năng của quả bóng sẽ giảm dần và chuyển hóa thành động năng. Khi quả bóng chạm đất, thế năng của quả bóng bằng 0 và động năng của quả bóng đạt giá trị cực đại.
2. Phát biểu về định luật bảo toàn động năng:
Trong một hệ kín, nếu không có lực ma sát hoặc các lực cản khác tác dụng lên các vật trong hệ thì động năng của hệ sẽ được bảo toàn. Tuy nhiên, trong thực tế, do luôn có lực ma sát và các lực cản khác, nên động năng của hệ không được bảo toàn hoàn toàn.
Xem thêm: Động năng là gì? Biểu thức tính động năng & bài tập vận dụng (Vật Lý 10)
Bài tập cơ năng (Vật Lý 10)
Dưới đây là một số bài tập thuộc chuyên đề Cơ năng, có kèm lời giải chi tiết giúp các em có thể kiểm tra và so sánh kết quả sau khi hoàn thành.
Câu 1: Một vật nhỏ được ném lên từ một điểm M phía trên mặt đất; vật lên tới điểm N thì dừng và rơi xuống. Bỏ qua sức cản của không khí. Trong quá trình MN
A. Động năng tăng
B. Thế năng giảm
C. Cơ năng cực đại tại N
D. Cơ năng không đổi
Đáp án: Chọn D.
Giải thích: Vì bỏ qua sức cản của không khí nên trong quá trình MN cơ năng không đổi.
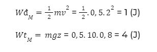
Câu 2: Từ điểm M (có độ cao so với mặt đất bằng 0,8m) ném lên một vật với vận tốc đầu 2m/s. Biết khối lượng của vật bằng 0,5kg, lấy g= 10m/s^2. Cơ năng của vật bằng bao nhiêu?
A. 4 J
B. 1 J
C. 5 J
D. 8 J
Đáp án: Chọn C
Giải thích:
Chọn mốc thế năng tại mặt đất. Tại điểm ném M ta có được:
Vậy cơ năng của vật bằng 5J
Câu 3: Cơ năng của một vật có khối lượng 2kg rơi từ độ cao 5m xuống mặt đất là:
A. 10 J
B. 100 J
C. 5 J
D. 50 J
Đáp án: Chọn B
Giải thích:
Vì cơ năng của hệ được bảo toàn nên cơ năng bằng thế năng lúc ban đầu, hay:
W = W( t = 0 ) = Wđ + Wt = mgh = 100 (J).
Câu 4: Một vật được ném thẳng đứng lên cao với vận tốc 6 m/s. Lấy g = 10 m/s^2. Tính độ cao cực đại của nó.
A. h = 1,8 m.
B. h = 3,6 m.
C. h = 2,4 m
D. h = 6 m
Đáp án: Chọn A
Giải thích:
Khi vật lên đến độ cao cực đại thì v = 0.
Định luật bảo toàn cơ năng cho 2 vị trí bắt đầu ném vật và độ cao cực đại:
W1 = W2 ⇔ Wđ1 + Wt1 = Wđ2 + Wt2.
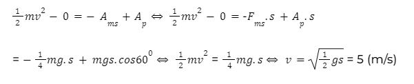
Câu 5: Một vật m trượt không vận tốc ban đầu từ đỉnh xuống chân một mặt phẳng nghiêng có chiều dài 5m, và nghiêng một góc 30° so với mặt phẳng ngang. Lực ma sát giữa vật và mặt phẳng nghiêng có độ lớn bằng một phần tư trọng lượng của vật. Lấy g=10m/s^2. Vận tốc của vật ở chân mặt phẳng nghiêng có độ lớn là
A. 4.5 m/s. B. 5 m/s. C. 3,25 m/s. D. 4 m/s.
Đáp án: Chọn B
Giải thích:
Áp định lí biến thiên động năng cho 2 vị trí vật bắt đầu chuyển động và khi vật dừng lại, ta có:
Câu 6: Một vận động viên nặng 650N nhảy với vận tốc ban đầu v0 = 2 m/s từ cầu nhảy ở độ cao 10 m xuống nước theo hướng thẳng đứng xuống dưới. Lấy g = 10 m/s^2, sau khi chạm nước người đó chuyển động thêm một độ dời 3m trong nước theo phương thẳng đứng thì dừng. Độ biến thiên cơ năng của người đó là:
A. – 8580 J
B. – 7850 J
C. – 5850 J
D. – 6850 J
Đáp án: Chọn A
Giải thích:
Chọn gốc thế năng tại mặt phân cách giữa nước và không khí.
Cơ năng của người lúc bắt đầu nhảy là:
Tại vị trí dừng lại, có tọa độ là h’ = -3 m.
Cơ năng lúc người đó dừng lại là:
Wsau = - mgh' = -1950 (J)
Độ biến thiên cơ năng: ΔW = Wsau - Wtrước = - 8580 (J).
Câu 7: Một vật được thả rơi tự do, trong quá trình rơi
A. Động năng của vật không đổi.
B. Thế năng của vật không đổi.
C. Tổng động năng và thế năng của vật không thay đổi.
D. Tổng động năng và thế năng của vật luôn thay đổi.
Đáp án: Chọn C.
Giải thích: Một vật được thả rơi tự do, trong quá trình rơi vận tốc và độ cao của vật thay đổi nên thế năng và động năng thay đổi, nhưng tổng thế năng và độngnăng của vật không thay đổi.
Câu 8: Một vận động viên trượt tuyết từ trên vách núi trượt xuống, tốc độ trượt mỗi lúc một tăng. Như vậy đối với vận động viên
A. Động năng tăng, thế năng tăng.
B. Động năng tăng, thế năng giảm.
C. Động năng không đổi, thế năng giảm.
D. Động năng giảm, thế năng tăng.
Đáp án: Chọn B.
Giải thích: Một vận động viên trượt tuyết từ trên vách núi trượt xuống nên độ cao giảm và vận tốc tăng. Do đó thế năng giảm, động năng tăng.
Câu 9: Trong quá trình dao động của một con lắc đơn thì tại vị trí cân bằng
A. động năng đạt giá trị cực đại.
B. thế năng đạt giá trị cực đại.
C. cơ năng bằng không.
D. thế năng bằng động năng.
Đáp án: Chọn A.
Giải thích: Trong quá trình dao động của một con lắc đơn thì tại vị trí cân bằng con lắc đơn có tọa độ cao thấp nhất do vậy thế năng nhỏ nhất, động năng lớn nhất.
Câu 10: Khi thả một vật trượt không vận tốc đầu trên mặt phẳng nghiêng có ma sát
A. cơ năng của vật bằng giá trị cực đại của động năng.
B. độ biến thiên động năng bằng công của lực ma sát.
C. độ giảm thế năng bằng công của trọng lực.
D. độ giảm thế năng bằng độ tăng động năng.
Đáp án: Chọn C.
Giải thích: Khi thả một vật trượt không vận tốc đầu trên mặt phẳng nghiêng có ma sát thế năng giảm do trọng lực sinh công. Do đó độ giảm thế năng bằng công của trọng lực.
Câu 11: Một vật được thả rơi tự do từ độ cao 3m. Độ cao vật khi động năng bằn hai lần thế năng là
A. 1,5 m.
B. 1,2 m.
C. 2,4 m.
D. 1,0 m.
Đáp án: Chọn D
Giải thích: Chọn mốc thế năng tại mặt đất.
Vật rơi tự do nên cơ năng được bảo toàn: W1 = W2
⇒ W1 = Wđ2 + Wt2 = 2.Wt2 +Wt2 ⇒ h2 = h/3 = 1 (m).
Câu 12: Một vật được ném thẳng đứng lên cao từ mặt đất với vận tốc đầu 4 m/s. Bỏ qua sức cản không khí. Tốc độ của vật khi có động năng bằng thế năng là
A. 2√2 m/s.
B. 2 m/s.
C. √2 m/s.
D. 1 m/s.
Đáp án: Chọn A
Giải thích: Chọn mốc thế năng tại mặt đất.
Bỏ qua sức cản không khí nên cơ năng được bảo toàn: W1 = W2
Wđ1+0 = Wđ2+Wt2=2.Wđ2
v2=v12=42=22 (m/s)
Lời kết:
Hy vọng các thông tin về Cơ năng và định luật bảo toàn cơ năng mà Monkey đã cung cấp sẽ giúp ích cho các em trong quá trình học tập và giải quyết các bài tập Vật Lý liên quan. Bên cạnh đó, các em cũng có thể tham khảo thêm nhiều bài viết bổ ích khác tại website monkey.edu.vn.





![Cơ năng là gì? Định luật bảo toàn cơ năng [Đầy đủ]](https://vnmedia2.monkeyuni.net/upload/web/storage_web/15-08-2022_15:17:25_dinh-luat-bao-toan-co-nang.jpg)




