Nhiều học sinh cảm thấy e dè với chuyên đề hình học không gian oxyz vì tính trừu tượng và khó khăn trong việc hình dung. Tuy nhiên, với phương pháp ôn tập phù hợp, bạn hoàn toàn có thể chinh phục chủ đề này và tự tin bước vào kỳ thi. Bài viết này sẽ cung cấp cho bạn những tài liệu ôn tập, phương pháp học tập hiệu quả và các dạng bài tập thường gặp trong chuyên đề hình học không gian thi THPT Quốc Gia.
Chuyên đề hình học không gian trong cấu trúc đề thi Toán THPT Quốc Gia 2024
Hiện nay, trong đề thi tham khảo THPT Quốc Gia 2024 môn Toán được Bộ GD&ĐT công bố, có tất cả 16 câu trên tổng số 50 câu thuộc chuyên đề hình học không gian (gồm: khối đa diện, khối tròn xoay, hình học không gian oxyz, hình học không gian lớp 11). Chứng tỏ đây là một chuyên đề quan trọng giúp Bộ GD&ĐT có thể đánh giá được chính xác năng lực của từng học sinh. Bên cạnh đó, phỏng theo cấu trúc đề thi Toán THPT Quốc Gia 2024, mặc dù câu hỏi nâng cao chỉ chiếm 1/16, nhưng đòi hỏi các thí sinh cần phải hiểu rõ khái niệm và các dạng bài toán thông dụng của chuyên đề hình học oxyz.
Lý thuyết về chuyên đề hình học không gian
Ở phần này Monkey sẽ cung cấp cho bạn các kiến thức tóm gọn về lý thuyết và công thức hình học ôn thi THPT Quốc Gia.
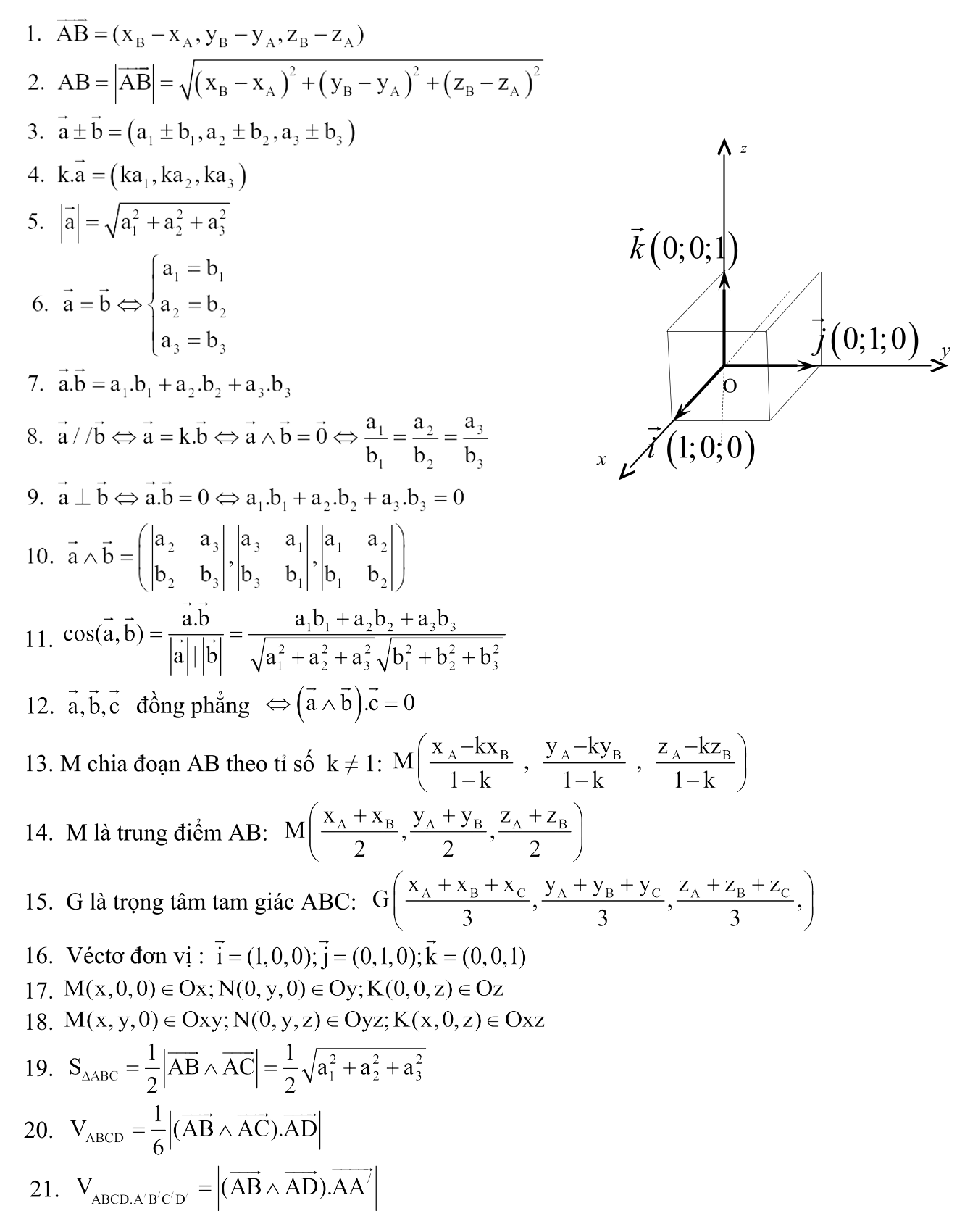
Độ điểm, tọa độ vectơ và các phép toán vectơ
Tóm tắt lý thuyết hệ tọa độ trong không gian toán 12, chuyên đề tọa độ trong không gian oxyz:

Phương trình mặt phẳng
Nắm trọn chuyên đề hình học không gian phương trình mặt phẳng với các kiến thức được tóm gọn sau đây:

Phương trình đường thẳng
Phương trình đường thẳng là một phần chủ đề quan trọng trong chuyên đề hình học không gian thi THPT Quốc Gia. Các kiến thức cần ghi nhớ bao gồm:

Phương trình mặt cầu
Khi nhắc đến chuyên đề hình học không gian, các thí sinh không nên chủ quan trong việc ôn tập kiến thức về phương trình mặt cầu. Một số kiến thức quan trọng cần ghi nhớ như sau:

Khoảng cách
Tóm tắt các kiến thức quan trọng về khoảng cách trong chuyên đề hình học không gian thi THPT Quốc Gia như sau:

Góc
Tóm tắt các kiến thức quan trọng về góc trong chuyên đề hình học không gian thi THPT Quốc Gia như sau:

Vị trí tương đối giữa điểm, mặt phẳng, đường thẳng, mặt cầu
Trong chuyên đề hình học không gian, kiến thức về vị trí tương đối giữa điểm, mặt phẳng, đường thẳng, mặt cầu chiếm phần lớn các câu hỏi trong đề thi THPT Quốc Gia.

Chuyên đề nguyên hàm - tích phân ôn thi THPT Quốc Gia môn Toán
Cấu trúc đề thi Toán THPT Quốc Gia 2024 & Mẹo giải đề hiệu quả
Chuyên đề hàm số mũ và logarit ôn thi THPT Quốc Gia môn Toán
Tìm điểm thỏa mãn yêu cầu bài toán
Tìm điểm thỏa mãn yêu cầu bài toán là một trong các kiến thức nâng cao thuộc chuyên đề hình học không gian mà các thí sinh cần lưu tâm.
Một số dạng toán về tìm điểm thỏa mãn yêu cầu như:

80+ Bài tập về chuyên đề hình học không gian thi THPT Quốc Gia (có đáp án)
Dưới đây là 80+ bài tập giúp bạn nắm trọn chuyên đề hình học không gian thi THPT Quốc Gia có đáp án tham khảo theo từng chủ đề.
Độ điểm, tọa độ vectơ và các phép toán vectơ

|
ĐÁP ÁN |
|||||||||
|
1 |
2 |
3 |
4 |
5 |
6 |
7 |
8 |
9 |
10 |
|
B |
A |
D |
A |
A |
C |
D |
C |
D |
B |
Phương trình mặt phẳng

|
ĐÁP ÁN |
|||||||||
|
1 |
2 |
3 |
4 |
5 |
6 |
7 |
8 |
9 |
10 |
|
A |
D |
C |
D |
A |
B |
A |
C |
A |
C |
Phương trình đường thẳng

|
ĐÁP ÁN |
||||||
|
13 |
14 |
15 |
16 |
17 |
18 |
19 |
|
D |
A |
B |
A |
C |
B |
C |
Phương trình mặt cầu

|
ĐÁP ÁN |
||||||||||
|
7 |
8 |
9 |
10 |
11 |
12 |
13 |
14 |
15 |
16 |
17 |
|
A |
B |
A |
D |
A |
A |
D |
A |
C |
D |
B |
Khoảng cách

|
ĐÁP ÁN |
||||||||
|
1 |
2 |
3 |
4 |
5 |
6 |
7 |
8 |
9 |
|
D |
A |
C |
C |
A |
B |
D |
D |
B |
Góc

|
ĐÁP ÁN |
||||
|
35 |
36 |
37 |
38 |
39 |
|
D |
C |
A |
C |
C |
Vị trí tương đối giữa điểm, mặt phẳng, đường thẳng, mặt cầu

|
ĐÁP ÁN |
|||||||||
|
1 |
2 |
3 |
4 |
5 |
6 |
7 |
8 |
9 |
10 |
|
D |
A |
A |
A |
C |
C |
A |
C |
B |
A |
Xem thêm: Chuyên đề nguyên hàm - tích phân ôn thi THPT Quốc Gia môn Toán
Tìm điểm thỏa mãn yêu cầu bài toán

|
ĐÁP ÁN |
|||||||||
|
1 |
2 |
3 |
4 |
5 |
6 |
7 |
8 |
9 |
10 |
|
C |
A |
D |
A |
D |
D |
A |
C |
D |
D |
Như vậy, bài viết đã cung cấp cho bạn những tài liệu ôn tập, phương pháp học tập hiệu quả và các dạng bài tập thường gặp trong chuyên đề hình học không gian ôn thi THPTQG. Chúc bạn vững tin và đạt điểm cao trong kỳ thi sắp tới!









