Bạn đang đau đầu với chuyên đề nguyên hàm - tích phân khi ôn thi THPT Quốc Gia môn toán, và không biết phải bắt đầu từ đâu? Đừng lo lắng! Bài viết này sẽ là “chìa khóa” giúp bạn chinh phục chuyên đề hóc búa này một đơn giản và cách hiệu quả.
Chuyên đề nguyên hàm - tích phân trong cấu trúc đề thi Toán THPT Quốc Gia 2024
Phỏng theo cấu trúc đề thi Toán THPT Quốc Gia 2024, chuyên đề nguyên hàm tích phân chiếm khoảng 7 câu hỏi trên tổng số 50 câu hỏi. Điều này đòi hỏi các thí sinh cần ôn tập kỹ lưỡng phần chuyên đề nguyên hàm tích phân và ứng dụng để có thể đạt được điểm số cao trong kỳ thi sắp tới. Tuy nhiên, thí sinh không cần ôn tập nguyên hàm và tích phân nâng cao, vì theo đề tham khảo môn Toán THPT Quốc Gia 2024 do bộ GD&ĐT công bố, phần chuyên đề này được phân bổ hầu hết ở mức độ nhận biết và thông hiểu (6/7 câu).
Ôn tập chuyên đề nguyên hàm - tích phân
Để ôn nguyên hàm tích phân trong đề thi THPT Quốc Gia được hiệu quả, các bạn cần phải nắm vững định nghĩa và tính chất trước khi luyện tập các dạng bài toán thường gặp.
1. Định nghĩa nguyên hàm - tích phân

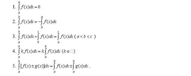
2. Tính chất của tích phân

Các dạng bài tập nguyên hàm tích phân trong đề thi THPT Quốc Gia
Trong các đề kiểm tra nguyên hàm tích phân mà học sinh đã được học, có tất cả 4 dạng bài tập thường gặp như tính tích phân theo công thức, dùng tính chất cận trung gian để tính tích phân, dùng phương pháp đổi biến số để tính tích phân, áp dụng phương pháp tính tích phân từng phần.
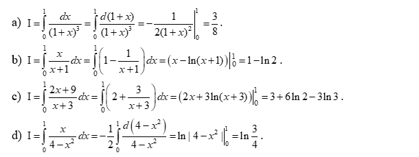
Dạng 1: Tính tích phân theo công thức sẵn có
Tính tích phân theo công thức sẵn có là dạng toán cơ bản nhất của chuyên đề nguyên hàm - tích phân, bạn chỉ cần áp dụng các công thức đã được học trong chương trình THPT từ đó tính ra đáp án.
Ví dụ. Tính các tích phân sau:

Hướng dẫn giải:

Dạng 2: Dùng tính chất cận trung gian để tính tích phân

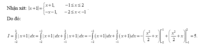
Ví dụ. Tính tích phân:

Hướng dẫn giải:

Dạng 3: Phương pháp đổi biến số
1. Phương pháp đổi biến số dạng 1

Dấu hiệu nhận biết và cách tính tính phân:

Ví dụ. Tính tích phân:

Hướng dẫn giải:

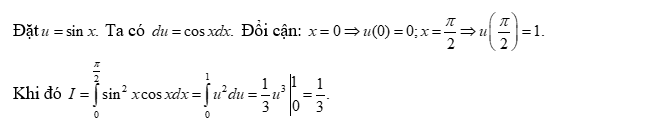
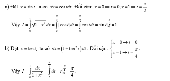
2. Phương pháp đổi biến số dạng 2

Ví dụ. Tính các tích phân sau:

Hướng dẫn giải:

Chuyên đề hàm số ôn thi THPT Quốc Gia môn Toán
Cấu trúc đề thi Toán THPT Quốc Gia 2024 & Mẹo giải đề hiệu quả
Chuyên đề hàm số mũ và logarit ôn thi THPT Quốc Gia môn Toán
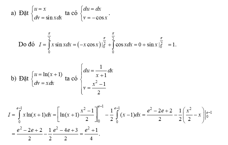
Dạng 4: Phương pháp tính tích phân từng phần

Chú ý: “Nhất log, nhì đa, tam lượng, tứ mũ”.
Ví dụ. Tính các tích phân sau:

Hướng dẫn giải:

Bài tập nguyên hàm tích phân có đáp án (ôn thi THPT QG)
|
Đáp án bài tập nguyên hàm tích phân trắc nghiệm |
|||||||||||
|
1 |
2 |
3 |
4 |
5 |
6 |
7 |
8 |
9 |
10 |
11 |
12 |
|
D |
A |
B |
A |
A |
A |
C |
D |
C |
D |
B |
A |
|
13 |
14 |
15 |
16 |
28 |
29 |
30 |
31 |
33 |
34 |
35 |
36 |
|
D |
B |
B |
C |
D |
C |
B |
B |
A |
B |
C |
D |

Xem thêm: Chuyên đề hàm số mũ và logarit ôn thi THPT Quốc Gia môn Toán
Chuyên đề nguyên hàm - tích phân là một phần quan trọng trong chương trình Toán học THPT và thường xuyên xuất hiện trong các đề thi THPT Quốc Gia. Hy vọng rằng với những kiến thức và phương pháp được chia sẻ trong bài viết này, các bạn đã có được nền tảng vững chắc để chinh phục chuyên đề này và đạt được kết quả cao trong kỳ thi sắp tới.


_(1).png)






