Hỗn số là gì? Cách tính hỗn số như thế nào? Để giúp các em học rõ, nắm chắc được phần kiến thức này, trong nội dung bài viết sau đây sẽ tiến hành phân tích chi tiết nhất.
|
XEM VIDEO TÓM TẮT NỘI DUNG BÀI VIẾT |
Hỗn số là gì?
Thế nào là hỗn số? Trong toán học, hỗn số là dạng đặc biệt của phân số với kết quả lớn hơn 1, nhưng cách viết hỗn số sẽ gọn hơn phân số. Đồng thời, hỗn số cũng có thể được viết nhờ tổng của một phân số và một số nguyên dương, cấu tạo bao gồm:
Số nguyên đứng trước cạnh dấu gạch ngang
Phân số
Ví dụ: Bạn có 1 quả cam còn nguyên và 1/2 quả cam, tổng số cam bạn có là 1.5 quả. Khi biểu diễn dưới dạng hỗn số sẽ là 1.5 = 1 1.2

Thực tế, phân số có thể đảo ngược tử và mẫu nên gọi là phân số thuận nghịch. Nên tính chất thuận nghịch cũng tồn tại ở hỗn số. Khi ta đảo ngược phân số thì đó vẫn là phân số. Nhưng với hỗn số, khi đảo ngược sẽ là phân số.
Ngoài ra, điểm chung của hỗn số và phân số chính là đối số của chúng không bị thay đổi. Trong đó, nếu so sánh hỗn số với số đối của nó thì dạng số không thay đổi. Đồng thời, khi viết phân số thành hỗn số thì phần phân số sẽ phải đảm bảo có giá trị nhỏ hơn 1.
Hướng dẫn cách đọc hỗn số
Hỗn số được cấu tạo từ số nguyên và phân số, nên khi đọc thì mọi người sẽ đọc phần số nguyên trước rồi mới đến phần phân số sau.
Ví dụ: 1 9/7 là hỗn số được tạo ra từ phân nguyên là 1 và phân số là 9/7. Lúc này, cách đọc hỗn số sẽ là một chín phần bảy
Các cách chuyển đổi trong hỗn số dễ hiểu
Trong chương hỗn số ở toán lớp 5, các em cần phải nắm rõ các cách chuyển đổi để có thể giải bài tập chính xác hơn. Cụ thể:
Cách chuyển đổi phân số sang hỗn số
Để chuyển đổi từ phân số sang hỗn số, ta thực hiện các bước sau đây:
Bước 1: Xác định tử và mẫu của phân số. Nếu tử lớn hơn mẫu, ta có thể thực hiện bước tiếp theo. Nhưng nếu tử bằng hoặc nhỏ hơn mẫu thì ta không thể chuyển đổi sang hỗn số.
Bước 2:
-
Lấy tử chia cho mẫu số của phân số.
-
Phần nguyên của phép chia vừa rồi sẽ được lấy là phần nguyên của hỗn số, còn phần dư của phép chia chính là tử số của hỗn số.
-
Phần mẫu hỗn số vẫn giữ nguyên từ phân số ban đầu.
Ví dụ: Cho phân số 9/2, hãy biểu diễn phân số trên dưới dạng hỗn số.
Cách thực hiện như sau:
- Bước 1: Lấy tử số chia cho mẫu số tức là lấy 9 : 2 = 4 và dư 1.
- Bước 2: Kết quả phép chia được 4 là phần nguyên của hỗn số, số dư là 1 sẽ là tử số mới.
Hỗn số nhận được là: 4 1/2
Cách chuyển đổi hỗn số sang phân số
Khi đã nắm được cách chuyển từ phân số sang hỗn số, việc chuyển đổi ngược lại cũng sẽ dễ dàng hơn. Cụ thể:
- Bước 1: Lấy phần nguyên của hỗn số nhân cho mẫu số, kết quả nhận được sẽ cộng cho tử số.
- Bước 2: Thay kết quả ở bước 1 thành tử số mới, giữ nguyên mẫu số. Ta được một phân số mới từ hỗn số đã cho.
Ví dụ: Đổi hỗn số sau sang phân số.

* Lưu ý: Tất cả các hỗn số đều đổi được sang phân số.
Cách chuyển hỗn số thành số thập phân
Để có thể chuyển đổi hỗn số thành số thập phân, chỉ cần thực hiện một trong 2 cách đơn giản sau:
Cách 1: Thực hiện giải phép tính đổi hỗn số thành phân số. Với phân số mới thu được, ta thực hiện chia tử với mẫu sẽ thu được số thập phân.
Cách 2: Giữ nguyên phần nguyên của hỗn số, rồi ở phần phân số ta sẽ thực hiện lấy tử chia cho mẫu. Sau khi thu được kết quả phép chia, ta cộng với phần nguyên của hỗn số sẽ được một số thập phân mới.
Monkey Math - Ứng dụng học toán tiếng Anh chỉ với 2K/Ngày
Các bước so sánh hai phân số cùng mẫu số toán lớp 4 chi tiết
Hướng dẫn cách so sánh hai phân số khác mẫu số nhanh - chính xác
Các dạng toán hỗn số thường gặp
Cũng là một phần của số học, nên ở chuyên đề toán hỗn số cũng sẽ có những dạng toán cơ bản sau đây:
Dạng 1: Cách cộng trừ hỗn số
Để giải bài tập về cộng trừ các hỗn số, các em có thể áp dụng một trong hai cách sau đây:
Cách 1: Đưa hỗn số về phân số rồi tính. Công việc tiếp theo chính là quy đồng mẫu số, rồi thực hiện phép tính cộng phân số hoặc trừ các phân số như thông thường.
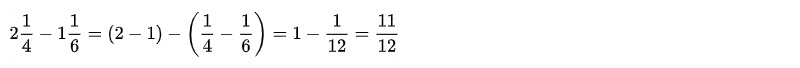
Ví dụ:

Cách 2: Thực hiện cộng/trừ phần nguyên với phần nguyên của các hỗn số với nhau, cộng/trừ phần phân số với phân số của hỗn số với nhau. Rồi thực hiện phép tính tương tự như phép cộng phân số.
* Lưu ý: Cách này chỉ áp dụng nếu các hỗn số không âm.
Ví dụ:

Dạng 2: Cách nhân chia hỗn số
Cách 1: Để nhân hoặc chia một hỗn số với một số nguyên, ta tiến hành chuyển đổi hỗn số thành tổng của một số nguyên và một phân số.
Cách 2: Ta chuyển đổi hỗn số thành phân số, rồi thực hiện phép tính nhân phân số hoặc chia phân số thông thường.

Dạng 3: Tính giá trị của biểu thức
Phương pháp giải: Để tính giá trị biểu thức hỗn số, ta tiến hành quy đổi hỗn số thành một dạng số cụ thể có thể là phân số hoặc số thập phân để thực hiện phép tính.
* Lưu ý: Thứ tự thực hiện phép tính cần nhớ là “trong ngoặc trước – ngoài ngoặc sau, nhân chia trước – cộng trừ sau”.
Dạng 4: So sánh các hỗn số
Để tiến hành so sánh các hỗn số, chúng ta có thể áp dụng theo 2 cách sau đây:
Cách 1: Chuyển hỗn số về phân số rồi thực hiện so sánh hai phân số vừa chuyển đổi.
Cách 2: So sánh phần nguyên và phần phân số của các hỗn số. Nếu:
-
Hỗn số nào có phần nguyên lớn hơn thì hỗn số đó lớn hơn và ngược lại
-
Hỗn số có hai phần nguyên bằng nhau, ta so sánh phần phân số. Trường hợp phân số của hỗn số nào lớn hơn thì hỗn số đó sẽ lớn hơn và ngược lại.

|
Để giúp bé học hiểu, tiếp thu và thực hành tốt kiến thức về hỗn số nói riêng, các kiến thức toán từ cấp mầm non đến tiểu học nói riêng, thì các phương pháp dạy học tích cực trên Monkey Math sẽ là công cụ hỗ trợ đắc lực. Từ việc dạy học thông qua video, hình ảnh hoạt họa ngộ nghĩnh, dạy toán thông qua trò chơi, bài tập bổ trợ giúp bé hiểu gốc rễ bài toán thay vì học vẹt, cũng như kích thích khả năng quan sát, tiếp thu, ghi nhớ và tư duy của bé tốt hơn. Hiện tại, Monkey đang có chương trình giảm tới 50% chỉ khoảng 2000đ/ngày tặng kèm theo cẩm nang học tập khi mua Monkey Math mà bố mẹ không thể bỏ lỡ. |
Bài tập hỗn số kèm hướng dẫn giải chi tiết
Dưới đây là một số bài tập về hỗn số mà Monkey tổng hợp để các em cùng nhau luyện tập:

Bài tập hỗn số không có đáp án
Ngoài những bài tập trên, dưới đây là phần bài tập không hướng dẫn giải để các em có thể vận dụng kiến thức đã học và luyện tập hiệu quả:

FAQ - Một số câu hỏi thường gặp
1. Hỗn số là gì?
Hỗn số là số gồm một phần nguyên và một phân số, được viết liền nhau.
2. Hỗn số gồm những phần nào?
Hỗn số gồm phần nguyên và phần phân số (phân số bé hơn 1).
3. Khi nào cần đổi phân số thành hỗn số?
Khi phân số lớn hơn 1 (tử số lớn hơn hoặc bằng mẫu số), ta có thể đổi phân số đó thành hỗn số.
4. Cách đổi phân số thành hỗn số như thế nào?
Chia tử số cho mẫu số:
Thương là phần nguyên
Dư là tử số của phần phân số
5. Cách đổi hỗn số thành phân số như thế nào?
Lấy phần nguyên nhân với mẫu số rồi cộng với tử số, giữ nguyên mẫu số.
6. Phần phân số của hỗn số có thể lớn hơn 1 không?
Không. Phần phân số của hỗn số luôn nhỏ hơn 1.
7. Hỗn số có thể là số tự nhiên không?
Không. Hỗn số luôn có cả phần nguyên và phần phân số.
8. Khi cộng, trừ hỗn số cần làm gì trước?
Thường đổi hỗn số thành phân số rồi thực hiện phép tính cho dễ và chính xác.
9. Học sinh thường sai ở điểm nào khi làm bài hỗn số?
Thường nhầm khi đổi hỗn số thành phân số, quên nhân phần nguyên với mẫu số hoặc cộng nhầm tử số.
10. Cách nhớ nhanh về hỗn số là gì?
“Hỗn số = phần nguyên + phân số bé hơn 1.”
Kết luận
Hỗn số là một trong những chuyên đề toán quan trọng trong chương trình học toán học lớp 4 và các lớp cao hơn, mà các em cần phải nắm rõ. Hy vọng, dựa vào những kiến thức mà Monkey chia sẻ sẽ góp phần nào trong việc hỗ trợ bé học tập, tiếp thu và chinh phục kiến thức này tốt hơn nhé.
Mixed Number – Definition with Examples
https://www.splashlearn.com/math-vocabulary/algebra/mixed-number
Mixed Numbers











