Nguyên hàm lượng giác là một trong những kiến thức toán học cơ bản, quan trọng trong chương trình THPT. Để giúp các em hiểu rõ hơn về công thức nguyên hàm lượng giác, các dạng bài thường gặp... hãy cùng Monkey tìm hiểu rõ hơn ngay trong bài viết sau đây nhé.
Nguyên hàm lượng giác là gì?
Nguyên hàm lượng giác được biết đến là phần kiến thức toán quan trọng trong chương trình toán THPT. Chính vì vậy, để có thể giải được các bài tập liên quan, đòi hỏi học sinh phải nắm vững lý thuyết của chúng. Cụ thể:
Định nghĩa
Nguyên hàm lượng giác là sự kết hợp giữa nguyên hàm và hàm lượng giác. Trong đó:
Theo Wiki, hàm lượng giác được biết đến là những hàm số toán học của góc, chúng thường được dùng khi nghiên cứu các hiện tượng có tính chất tuần hoàn hay tam giác. Các hàm lượng giác của một góc thường được định nghĩa bởi tỷ lệ chiều dài hai cạnh của tam giác vuông chứa góc đó, hoặc tỷ lệ chiều dài giữa các đoạn thẳng nối các điểm đặc biệt trên vòng tròn đơn vị.
Với những định nghĩa hiện đại hơn thường coi các hàm lượng giác là chuỗi số vô hạn hoặc là nghiệm của một số phương trình vi phân, điều này cho phép hàm lượng giác có thể có đối số là một số thực hay một số phức bất kì.
Trong đó sẽ bao gồm những hàm lượng giác cơ bản như:

Còn nguyên hàm được định nghĩa là: Cho hàm số f(x) xác định trên K (K là khoảng, đoạn hay nửa khoảng). Hàm số F(x) được gọi là nguyên hàm của hàm số f(x) trên K nếu F'(x) = f(x) với mọi x ∈ K.
Kí hiệu: ∫ f(x)dx = F(x) + C.
Định lý liên quan
Nguyên hàm lượng giác cũng là một dạng toán của nguyên hàm, nên khi giải bài tập học sinh phải nắm rõ những định lý cơ bản của nguyên hàm để giải được bài tập. Cụ thể:
- Nếu F(x) là một nguyên hàm của f(x) trên K thì với mỗi hằng số C, hàm số G(x) = F(x) + C cũng là một nguyên hàm của f(x) trên K.
- Nếu F(x) là một nguyên hàm của hàm số f(x) trên K thì mọi nguyên hàm của f(x) trên K đều có dạng F(x) + C, với C là một hằng số.
Do đó F(x) + C; C ∈ R là họ tất cả các nguyên hàm của f(x) trên K.
Tính chất của nguyên hàm
- (∫ f(x)dx)’ = f(x) và ∫ f'(x)dx = f(x) + C.
- Nếu F(x) có đạo hàm thì: ∫d(F(x)) = F(x) + C).
- ∫ kf(x)dx = k∫ f(x)dx với k là hằng số khác 0.
- ∫[f(x) ± g(x)]dx = ∫ f(x)dx ± ∫g(x)dx.
Sự tồn tại của nguyên hàm
Đối với dạng toán nguyên hàm lượng giác, cũng sẽ dựa theo định lý sự tồn tại của nguyên hàm như sau:
Mọi hàm số f(x) liên tục trên K đều có nguyên hàm trên K.
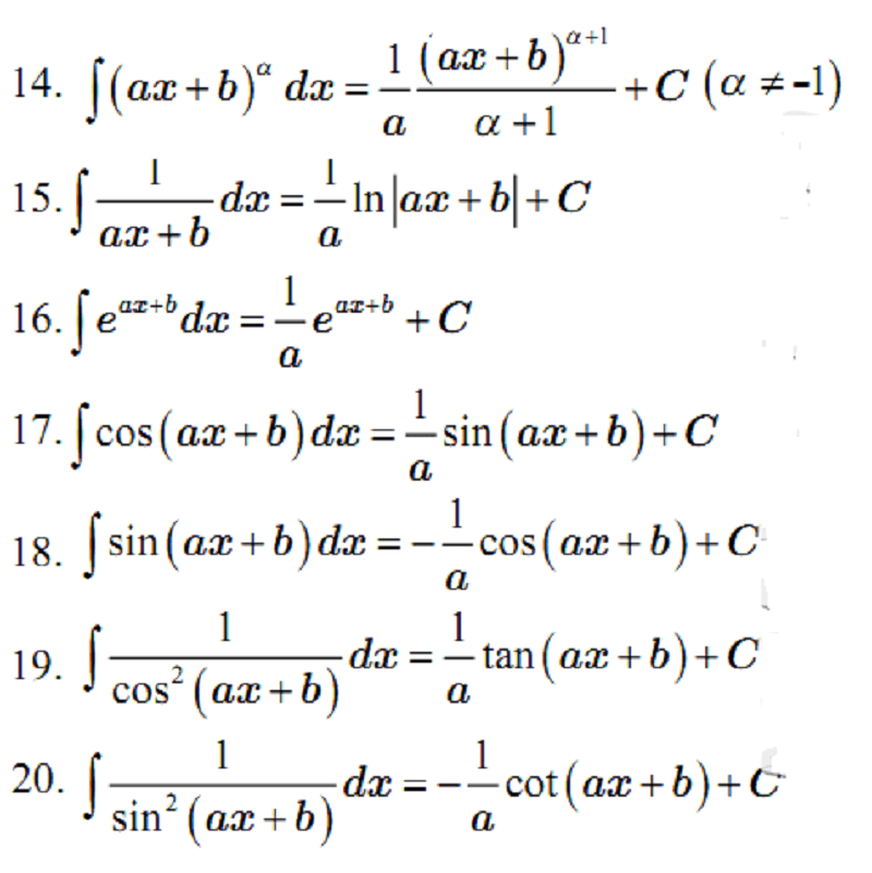
Công thức nguyên hàm lượng giác chi tiết nhất
Sau khi đã nắm được định nghĩa, tính chất của một bài toán nguyên hàm hàm lượng giác. Để có thể tiến hành làm bài tập và giải chúng thì việc ghi nhớ công thức rất quan trọng.
Hiện tại đối với công thức nguyên hàm lượng giác sẽ có 3 dạng từ cơ bản, mở rộng và nâng cao. Cụ thể như sau:



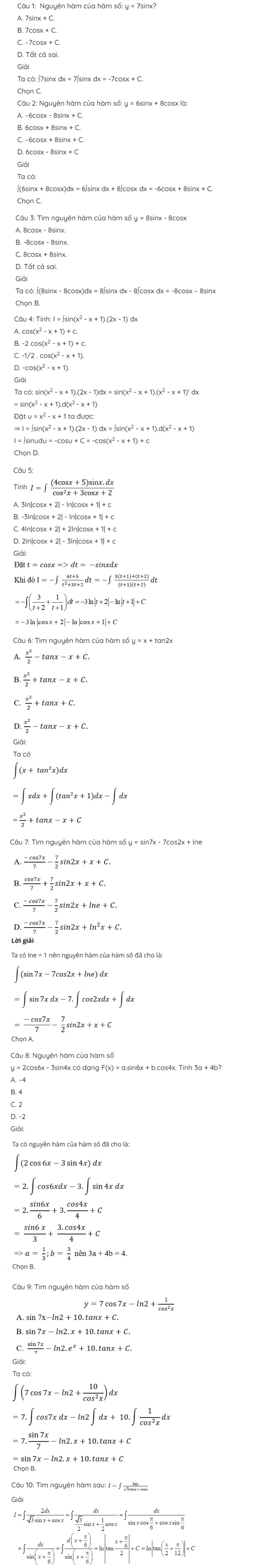
Các dạng bài tập về nguyên hàm lượng giác thường gặp và cách giải
Dựa vào công thức nguyên hàm lượng giác trên, về cơ bản sẽ có có 4 dạng toán liên quan để các em học sinh có thể áp dụng để giải bài tập đơn giản. Cụ thể:

Bài tập toán nguyên hàm của hàm lượng giác tự luyện
Vì dạng toán này thường gặp nhiều trong quá trình làm bài tập, bài thi học kỳ cho đến kỳ thi THPT quốc gia, nên các em cần phải nắm rõ từ lý thuyết về công thức sau đó rèn luyện thực hành để có thể làm quen, hiểu và giải quyết bài toán chính xác nhất.
Vậy nên, để giúp học sinh thực hành giải bài tập toán nguyên hàm lượng giác, sau đây là một số bài tập toán tự liên để các em có thể tham khảo và áp dụng:

Xem thêm: Tất tần tật kiến thức nguyên hàm Inx kèm theo hướng dẫn giải bài tập nguyên hàm của In x chi tiết
Kết luận
Trên đây là tổng hợp những kiến thức về dạng toán nguyên hàm lượng giác. Về cơ bản đây là một bài toán khá khó nếu như học sinh không nắm vững kiến thức từ lý thuyết cho đến thực hành sẽ rất dễ bị mất điểm ở dạng bài tập này.
Vậy nên, hy vọng với những chia sẻ của Monkey trên sẽ giúp các em có thêm dữ liệu, kiến thức để chinh phục toán nguyên hàm dễ dàng, hiệu quả hơn nhé.










